Journal of Oil, Gas and Petrochemical Sciences (JOGPS)

Open Access Journal

Frequency: Bi-Monthly

ISSN 2630-8541

Volume : 2 | Issue : 2

Research

Comparison of Single, Binary and Temperature-Dependent Adsorption Models Based on Error Function Analysis

John Fianu, Jebraeel Gholinezhad, Mohamad Hassan

School of Energy and Electronic Engineering (SENE), University of Portsmouth, PO1 3DJ, Portsmouth, UK

Received: February 11, 2019 | Published: April 23, 2019

Correspondence: Jebraeel Gholinezhad, School of Energy and Electronic Engineering (SENE), University of Portsmouth, PO1 3DJ, Portsmouth, UK, Email [email protected]

Citation: Fianu J, Gholinezhad J, Hassan M. Comparison of Single, Binary and Temperature-Dependent Adsorption Models Based on Error Function Analysis. J Oil Gas Petrochem Sci. (2019);2(2):77-91. DOI: 10.30881/jogps.00027

Abstract

The choice of adsorption model to use when accounting for gas adsorption in shale gas reservoirs is critical especially for Gas in Place (OGIP) calculations since inaccurate predictions can affect reporting of overall gas reserves. To that end, different adsorption models would have to be compared and evaluated in order to select the model that fits experimental data accurately. In examining the effect of using different error criteria for determining parameters for shale gas adsorption models, a statistically robust error analysis has been performed based on the sum of normalised error (SNE). Most shale gas adsorption modelling are conducted without finding out the most appropriate error function to use which introduces adsorption prediction errors in calculations. Five different error analysis were used including Sum of squared error (SSE), average relative error (ARE), the sum of absolute error (SAE), Marquardt’s Percent standard Deviation (MPSD), and Hybrid fractional error (HYBRID). To account for the influence of temperature in adsorption capacities, the study also compares the use of temperature dependent models, such as Exponential and Bi-Langmuir models for gas adsorption. These models can be conducted at multiple temperatures and ensure adsorption data can be obtained at any temperature beyond laboratory conditions. This is particularly useful when conducting thermal stimulation as an enhanced gas recovery in both coal/shale gas reservoirs.

Introduction

Shale gas reservoirs are characterised by gas adsorption on shale matrix and free gas stored within the pores of the matrix. Both free gas and adsorbed gas make up a large portion of the total gas in place of these reservoirs, with gas adsorption estimated to be about 20-85% of the total gas in place.1 Gas adsorption plays an important role in the estimations of the overall gas in place which, in turn, is crucial when developing these resources for future production. Over the years, Langmuir isotherm has remained one of the most popular models used in representing the relationship between the amount of gas adsorbed and pressure. However, several other models have also been developed that can comparatively represent the adsorption process in most of these shale reservoirs.2–10 To ensure accurate representation of the amount of gas adsorbed, these models need to be evaluated and compared with the experimental data for the gas adsorption in the shale matrix. Since each shale rock might show unique properties, it may not be possible to select a single model to represent the adsorption process in all the shale formations. For instance, it has been reported that Brunauer, Emmet and Teller (BET) model represents the adsorption process in Marcellus shale better than Langmuir isotherm based on different samples within the formation.11 However, this may not necessarily be the case for other shales.

Gas adsorption modelling involves applying a set of different adsorption models to acquired experimental shale gas adsorption data. These models can be grouped under single component systems or multi-component systems. Under the single component system, a single gas such as methane is used as the adsorbed gas on shale. The advantage of using single component models is that they are very simple and easy to be used in the calculation of adsorbed gas amount. This is especially useful when conducting numerical simulations involving the calculation of adsorption in shale gas reservoirs. For this reason, single component models can be found in a variety of reservoir simulations of shale gas systems. However, this assumption is not valid because in most cases, the formation gas is a mixture containing more than one component.10 In shale gas systems, methane, carbon dioxide (CO2) and other gases can be found, therefore, modelling the gas adsorption in such systems would require adsorption models capable of addressing the multi-component gas mixture present.

There are lots of factors that can account for the adsorption capacity of methane on shale. These factors include, but not limited to, the total organic content (TOC), the level of thermal maturity of the shale, Kerogen content, Pressure and Temperature. Experimental studies suggested that adsorbed gas quantity versus TOC shows proportional relation to maturity/kerogen type with high TOC of shale leading to high adsorption capacity.12–16  Low reservoir pressure will correspond to a much lower adsorbed quantity due to the fact that higher binding energy is required for gas adsorption.17,18

Gas adsorption in shale gas reservoir is considered to be an exothermic reaction due to heat loss as a result of the force of attraction between the adsorbate and adsorbent. Therefore, temperature plays an important role in determining the adsorption capacity of shale reservoirs. Higher reservoir temperature will correspond to a lower adsorption capacity of the shale and vice versa. Temperature dependence of adsorption capacity is greatly influenced by the isosteric heat which also depends on the surface coverage.19 To be able to account for the adsorption capacity, adsorption models should be expressed not only as a function of pressure, but also of temperature. Section 2 of this study is, therefore, focused on describing the various single component systems, multi-component systems and finally temperature-dependent models used in the modelling of shale gas adsorption.

Several works have been conducted on adsorption modelling without taking into consideration the choice of error function used in optimising the adsorption model.6,9,20–22 This often results in only one set of adsorption constants for the adsorption models being used without any serious interrogation to how accurately it fits the adsorption model to experimental data. According to Sreńscek-Nazzal et al.,23 very few detailed studies have been conducted on comparing the accuracy of the error functions used in modelling gas adsorption and also the accuracy of the predicted isotherm parameters. No study has however looked at comparing different error functions on modelling gas adsorption in shale gas reservoirs. In minimising the difference between the experimental data and the predicted results from the adsorption models, several error functions have been proposed and applied to predict optimal isotherms including sum of square error (SSE), average relative error (ARE), sum of absolute error (SAE), Marquardt’s percent standard deviation (MPSD) and Hybrid fractional error (HYBRID).23–26

Shale gas adsorption models

Single Component Models

Langmuir Isotherm

One of the most widely used adsorption isotherms is Langmuir isotherm.6 A key assumption of Langmuir isotherm is that there must be a homogeneous surface and no interaction between the adjacent molecules. This is, however, a difficult concept to apply even in coal or shale systems, because their internal organic matter is chemically heterogeneous.6

Langmuir isotherm is given by the formulae below

V= V L bp 1+bp , MathType@MTEF@5@5@+= feaagKart1ev2aaatCvAUfeBSjuyZL2yd9gzLbvyNv2CaerbuLwBLn hiov2DGi1BTfMBaeXatLxBI9gBaerbd9wDYLwzYbItLDharqqtubsr 4rNCHbGeaGqiVu0Je9sqqrpepC0xbbL8F4rqqrFfpeea0xe9Lq=Jc9 vqaqpepm0xbba9pwe9Q8fs0=yqaqpepae9pg0FirpepeKkFr0xfr=x fr=xb9adbaqaaeGaciGaaiaabeqaamaabaabaaGcbaGaamOvaiabg2 da9maalaaabaGaamOvamaaBaaaleaacaWGmbaabeaakiaadkgacaWG WbaabaGaaGymaiabgUcaRiaadkgacaWGWbaaaiaacYcaaaa@3FCE@ Equation 1

Where V MathType@MTEF@5@5@+= feaagKart1ev2aqatCvAUfeBSjuyZL2yd9gzLbvyNv2CaerbuLwBLn hiov2DGi1BTfMBaeXatLxBI9gBaerbd9wDYLwzYbItLDharqqtubsr 4rNCHbGeaGqiVCI8FfYJH8YrFfeuY=Hhbbf9v8qqaqFr0xc9pk0xbb a9q8WqFfeaY=biLkVcLq=JHqpepeea0=as0Fb9pgeaYRXxe9vr0=vr 0=vqpWqaaeaabiGaciaacaqabeaadaqaaqaaaOqaaiaadAfaaaa@36C7@ is the volume of adsorbed gas at pressure P MathType@MTEF@5@5@+= feaagKart1ev2aqatCvAUfeBSjuyZL2yd9gzLbvyNv2CaerbuLwBLn hiov2DGi1BTfMBaeXatLxBI9gBaerbd9wDYLwzYbItLDharqqtubsr 4rNCHbGeaGqiVCI8FfYJH8YrFfeuY=Hhbbf9v8qqaqFr0xc9pk0xbb a9q8WqFfeaY=biLkVcLq=JHqpepeea0=as0Fb9pgeaYRXxe9vr0=vr 0=vqpWqaaeaabiGaciaacaqabeaadaqaaqaaaOqaaiaadcfaaaa@36C1@ , V L MathType@MTEF@5@5@+= feaagKart1ev2aqatCvAUfeBSjuyZL2yd9gzLbvyNv2CaerbuLwBLn hiov2DGi1BTfMBaeXatLxBI9gBaerbd9wDYLwzYbItLDharqqtubsr 4rNCHbGeaGqiVCI8FfYJH8YrFfeuY=Hhbbf9v8qqaqFr0xc9pk0xbb a9q8WqFfeaY=biLkVcLq=JHqpepeea0=as0Fb9pgeaYRXxe9vr0=vr 0=vqpWqaaeaabiGaciaacaqabeaadaqaaqaaaOqaaiaadAfadaWgaa WcbaGaamitaaqabaaaaa@37C4@ is the Langmuir volume or maximum gas adsorption at infinite pressure and b MathType@MTEF@5@5@+= feaagKart1ev2aqatCvAUfeBSjuyZL2yd9gzLbvyNv2CaerbuLwBLn hiov2DGi1BTfMBaeXatLxBI9gBaerbd9wDYLwzYbItLDharqqtubsr 4rNCHbGeaGqiVCI8FfYJH8YrFfeuY=Hhbbf9v8qqaqFr0xc9pk0xbb a9q8WqFfeaY=biLkVcLq=JHqpepeea0=as0Fb9pgeaYRXxe9vr0=vr 0=vqpWqaaeaabiGaciaacaqabeaadaqaaqaaaOqaaiaadkgaaaa@36D3@ is the Langmuir constant.

BET Model

BET isotherm was developed in 1938 by Stephen Brunauer, P.H. Emmet and Edward Teller.27 A key assumption that was used in the derivation of this isotherm is the fact that the adsorption layers on the surface of the organic carbon were infinite. For relatively flat and non-porous surfaces, the use of Langmuir isotherm is often not valid. The BET isotherm is normally considered a better fit in describing the adsorption processes in certain shale gas reservoirs.11 The BET equation is given as

V( P )= V m C P P O 1 P P O [ 1( n+1 ) ( P P O ) n +n ( P P O ) n+1 1+( C1 ) P P O C ( P P O ) n+1 ] MathType@MTEF@5@5@+= feaagKart1ev2aqatCvAUfeBSjuyZL2yd9gzLbvyNv2CaerbuLwBLn hiov2DGi1BTfMBaeXatLxBI9gBaerbd9wDYLwzYbItLDharqqtubsr 4rNCHbGeaGqiVu0Je9sqqrpepC0xbbL8F4rqqrFfpeea0xe9Lq=Jc9 vqaqpepm0xbba9pwe9Q8fs0=yqaqpepae9pg0FirpepeKkFr0xfr=x fr=xb9adbaqaaeGaciGaaiaabeqaamaabaabaaGcbaGaamOvamaabm aabaGaamiuaaGaayjkaiaawMcaaiabg2da9maalaaabaGaamOvamaa BaaaleaacaWGTbaabeaakiaadoeadaWcaaqaaiaadcfaaeaacaWGqb WaaSbaaSqaaiaad+eaaeqaaaaaaOqaaiaaigdacqGHsisldaWcaaqa aiaadcfaaeaacaWGqbWaaSbaaSqaaiaad+eaaeqaaaaaaaGcdaWada qaamaalaaabaGaaGymaiabgkHiTmaabmaabaGaamOBaiabgUcaRiaa igdaaiaawIcacaGLPaaadaqadaqaamaalaaabaGaamiuaaqaaiaadc fadaWgaaWcbaGaam4taaqabaaaaaGccaGLOaGaayzkaaWaaWbaaSqa beaacaWGUbaaaOGaey4kaSIaamOBamaabmaabaWaaSaaaeaacaWGqb aabaGaamiuamaaBaaaleaacaWGpbaabeaaaaaakiaawIcacaGLPaaa daahaaWcbeqaaiaad6gacqGHRaWkcaaIXaaaaaGcbaGaaGymaiabgU caRmaabmaabaGaam4qaiabgkHiTiaaigdaaiaawIcacaGLPaaadaWc aaqaaiaadcfaaeaacaWGqbWaaSbaaSqaaiaad+eaaeqaaaaakiabgk HiTiaadoeadaqadaqaamaalaaabaGaamiuaaqaaiaadcfadaWgaaWc baGaam4taaqabaaaaaGccaGLOaGaayzkaaWaaWbaaSqabeaacaWGUb Gaey4kaSIaaGymaaaaaaaakiaawUfacaGLDbaaaaa@6B87@ Equation 2

V m MathType@MTEF@5@5@+= feaagKart1ev2aqatCvAUfeBSjuyZL2yd9gzLbvyNv2CaerbuLwBLn hiov2DGi1BTfMBaeXatLxBI9gBaerbd9wDYLwzYbItLDharqqtubsr 4rNCHbGeaGqiVu0Je9sqqrpepC0xbbL8F4rqqrFfpeea0xe9Lq=Jc9 vqaqpepm0xbba9pwe9Q8fs0=yqaqpepae9pg0FirpepeKkFr0xfr=x fr=xb9adbaqaaeGaciGaaiaabeqaamaabaabaaGcbaGaamOvamaaBa aaleaacaWGTbaabeaaaaa@37F0@ is the maximum adsorption gas volume when the entire absorbent surface is being covered with a complete monolayer, C MathType@MTEF@5@5@+= feaagKart1ev2aqatCvAUfeBSjuyZL2yd9gzLbvyNv2CaerbuLwBLn hiov2DGi1BTfMBaeXatLxBI9gBaerbd9wDYLwzYbItLDharqqtubsr 4rNCHbGeaGqiVu0Je9sqqrpepC0xbbL8F4rqqrFfpeea0xe9Lq=Jc9 vqaqpepm0xbba9pwe9Q8fs0=yqaqpepae9pg0FirpepeKkFr0xfr=x fr=xb9adbaqaaeGaciGaaiaabeqaamaabaabaaGcbaGaam4qaaaa@36BF@ is a constant related to the net heat of adsorption, P o MathType@MTEF@5@5@+= feaagKart1ev2aqatCvAUfeBSjuyZL2yd9gzLbvyNv2CaerbuLwBLn hiov2DGi1BTfMBaeXatLxBI9gBaerbd9wDYLwzYbItLDharqqtubsr 4rNCHbGeaGqiVu0Je9sqqrpepC0xbbL8F4rqqrFfpeea0xe9Lq=Jc9 vqaqpepm0xbba9pwe9Q8fs0=yqaqpepae9pg0FirpepeKkFr0xfr=x fr=xb9adbaqaaeGaciGaaiaabeqaamaabaabaaGcbaGaamiuamaaBa aaleaacaWGVbaabeaaaaa@37EC@ the saturation pressure of the gas , which can be calculated from the reduced Kirchoff equation (See supplemenatry sheet ) and n MathType@MTEF@5@5@+= feaagKart1ev2aqatCvAUfeBSjuyZL2yd9gzLbvyNv2CaerbuLwBLn hiov2DGi1BTfMBaeXatLxBI9gBaerbd9wDYLwzYbItLDharqqtubsr 4rNCHbGeaGqiVu0Je9sqqrpepC0xbbL8F4rqqrFfpeea0xe9Lq=Jc9 vqaqpepm0xbba9pwe9Q8fs0=yqaqpepae9pg0FirpepeKkFr0xfr=x fr=xb9adbaqaaeGaciGaaiaabeqaamaabaabaaGcbaGaamOBaaaa@36EA@ is the maximum number of adsorption layers. When n MathType@MTEF@5@5@+= feaagKart1ev2aqatCvAUfeBSjuyZL2yd9gzLbvyNv2CaerbuLwBLn hiov2DGi1BTfMBaeXatLxBI9gBaerbd9wDYLwzYbItLDharqqtubsr 4rNCHbGeaGqiVu0Je9sqqrpepC0xbbL8F4rqqrFfpeea0xe9Lq=Jc9 vqaqpepm0xbba9pwe9Q8fs0=yqaqpepae9pg0FirpepeKkFr0xfr=x fr=xb9adbaqaaeGaciGaaiaabeqaamaabaabaaGcbaGaamOBaaaa@36EA@ =1, the equation will be reduced to the Langmuir isotherm and when n MathType@MTEF@5@5@+= feaagKart1ev2aqatCvAUfeBSjuyZL2yd9gzLbvyNv2CaerbuLwBLn hiov2DGi1BTfMBaeXatLxBI9gBaerbd9wDYLwzYbItLDharqqtubsr 4rNCHbGeaGqiVu0Je9sqqrpepC0xbbL8F4rqqrFfpeea0xe9Lq=Jc9 vqaqpepm0xbba9pwe9Q8fs0=yqaqpepae9pg0FirpepeKkFr0xfr=x fr=xb9adbaqaaeGaciGaaiaabeqaamaabaabaaGcbaGaamOBaaaa@36EA@ = MathType@MTEF@5@5@+= feaagKart1ev2aqatCvAUfeBSjuyZL2yd9gzLbvyNv2CaerbuLwBLn hiov2DGi1BTfMBaeXatLxBI9gBaerbd9wDYLwzYbItLDharqqtubsr 4rNCHbGeaGqiVu0Je9sqqrpepC0xbbL8F4rqqrFfpeea0xe9Lq=Jc9 vqaqpepm0xbba9pwe9Q8fs0=yqaqpepae9pg0FirpepeKkFr0xfr=x fr=xb9adbaqaaeGaciGaaiaabeqaamaabaabaaGcbaGaeyOhIukaaa@3768@ , the equation reduces to

V L = V m CP ( P o P )[ 1+ ( C1 )P P o ] MathType@MTEF@5@5@+= feaagKart1ev2aqatCvAUfeBSjuyZL2yd9gzLbvyNv2CaerbuLwBLn hiov2DGi1BTfMBaeXatLxBI9gBaerbd9wDYLwzYbItLDharqqtubsr 4rNCHbGeaGqiVu0Je9sqqrpepC0xbbL8F4rqqrFfpeea0xe9Lq=Jc9 vqaqpepm0xbba9pwe9Q8fs0=yqaqpepae9pg0FirpepeKkFr0xfr=x fr=xb9adbaqaaeGaciGaaiaabeqaamaabaabaaGcbaGaamOvamaaBa aaleaacaWGmbaabeaakiabg2da9maalaaabaGaamOvamaaBaaaleaa caWGTbaabeaakiaadoeacaWGqbaabaWaaeWaaeaacaWGqbWaaSbaaS qaaiaad+gaaeqaaOGaeyOeI0IaamiuaaGaayjkaiaawMcaamaadmaa baGaaGymaiabgUcaRmaalaaabaWaaeWaaeaacaWGdbGaeyOeI0IaaG ymaaGaayjkaiaawMcaaiaadcfaaeaacaWGqbWaaSbaaSqaaiaad+ga aeqaaaaaaOGaay5waiaaw2faaaaaaaa@4C45@ Equation 3

Dubinin-Astakhov

One of the widely used equations for describing experimental data of the adsorption of gases on microporous solids is the Dubinin equations. This equation was proposed by Dubinin and Radushkevich for solids with homogeneous structure of micropores with later extensions of non-homogeneous microporous structures by Dubinin –Astakhov (D-A) equations.28

A more general form of the D-A equation is:

W= W o exp[ ( RT βE ln P s P ) m ] MathType@MTEF@5@5@+= feaagKart1ev2aqatCvAUfeBSjuyZL2yd9gzLbvyNv2CaerbuLwBLn hiov2DGi1BTfMBaeXatLxBI9gBaerbd9wDYLwzYbItLDharqqtubsr 4rNCHbGeaGqiVu0Je9sqqrpepC0xbbL8F4rqqrFfpeea0xe9Lq=Jc9 vqaqpepm0xbba9pwe9Q8fs0=yqaqpepae9pg0FirpepeKkFr0xfr=x fr=xb9adbaqaaeGaciGaaiaabeqaamaabaabaaGcbaGaam4vaiabg2 da9iaadEfadaWgaaWcbaGaam4BaaqabaGcciGGLbGaaiiEaiaaccha daWadaqaaiabgkHiTmaabmaabaWaaSaaaeaacaWGsbGaamivaaqaai abek7aIjaadweaaaGaciiBaiaac6gadaWcaaqaaiaadcfadaWgaaWc baGaam4CaaqabaaakeaacaWGqbaaaaGaayjkaiaawMcaamaaCaaale qabaGaamyBaaaaaOGaay5waiaaw2faaaaa@4B42@ Equation 4

D= RT βE MathType@MTEF@5@5@+= feaagKart1ev2aqatCvAUfeBSjuyZL2yd9gzLbvyNv2CaerbuLwBLn hiov2DGi1BTfMBaeXatLxBI9gBaerbd9wDYLwzYbItLDharqqtubsr 4rNCHbGeaGqiVu0Je9sqqrpepC0xbbL8F4rqqrFfpeea0xe9Lq=Jc9 vqaqpepm0xbba9pwe9Q8fs0=yqaqpepae9pg0FirpepeKkFr0xfr=x fr=xb9adbaqaaeGaciGaaiaabeqaamaabaabaaGcbaGaamiraiabg2 da9maalaaabaGaamOuaiaadsfaaeaacqaHYoGycaWGfbaaaaaa@3BF1@

When m MathType@MTEF@5@5@+= feaagKart1ev2aqatCvAUfeBSjuyZL2yd9gzLbvyNv2CaerbuLwBLn hiov2DGi1BTfMBaeXatLxBI9gBaerbd9wDYLwzYbItLDharqqtubsr 4rNCHbGeaGqiVu0Je9sqqrpepC0xbbL8F4rqqrFfpeea0xe9Lq=Jc9 vqaqpepm0xbba9pwe9Q8fs0=yqaqpepae9pg0FirpepeKkFr0xfr=x fr=xb9adbaqaaeGaciGaaiaabeqaamaabaabaaGcbaGaamyBaaaa@36E9@ is equal to 2, the D-A equation reduces to the D-R equation. The additional parameter m MathType@MTEF@5@5@+= feaagKart1ev2aqatCvAUfeBSjuyZL2yd9gzLbvyNv2CaerbuLwBLn hiov2DGi1BTfMBaeXatLxBI9gBaerbd9wDYLwzYbItLDharqqtubsr 4rNCHbGeaGqiVu0Je9sqqrpepC0xbbL8F4rqqrFfpeea0xe9Lq=Jc9 vqaqpepm0xbba9pwe9Q8fs0=yqaqpepae9pg0FirpepeKkFr0xfr=x fr=xb9adbaqaaeGaciGaaiaabeqaamaabaabaaGcbaGaamyBaaaa@36E9@ allows for some flexibility of modelling6,29 compared with the two-parameter equation of D-R.

Vacancy Solution Model (VSM)

The vacancy solution model by Suwanayuen and Danner30 treats the adsorbed phase as a mixture of adsorbed species and their vacancies.31 That is, it assumes two solutions in the system made up of the gas phase and the adsorbed phase. The surface is considered to be made up of a vacancy (species v MathType@MTEF@5@5@+= feaagKart1ev2aqatCvAUfeBSjuyZL2yd9gzLbvyNv2CaerbuLwBLn hiov2DGi1BTfMBaeXatLxBI9gBaerbd9wDYLwzYbItLDharqqtubsr 4rNCHbGeaGqiVu0Je9sqqrpepC0xbbL8F4rqqrFfpeea0xe9Lq=Jc9 vqaqpepm0xbba9pwe9Q8fs0=yqaqpepae9pg0FirpepeKkFr0xfr=x fr=xb9adbaqaaeGaciGaaiaabeqaamaabaabaaGcbaGaamODaaaa@36F2@ ) and adsorbed species (species 1).32 The VSM has been found to be applicable to all gas adsorption systems.30 The vacancy is defined as “vacuum entity occupying a space that can be filled by an adsorbate molecule.”  The vacancies are imaginary entity with the same size as the adsorbate. In order to account for the non-ideality of the system, activity coefficient obtained from pure component data are used. The VSM has been found to be applicable to all gas adsorption systems.30 In view of this, its application could be said to be suiTable for shale and coal bed methane systems. There are, however, limited applications of this model in shale gas system. Using the Wilson equation to define the activity coefficient, the Wilson – VSM isotherm equation can be obtained for a single component as

P=[ n 1 b 1 θ 1θ ][ Λ 1v 1(1 Λ v1 )θ Λ 1v +(1 Λ v1 )θ ]exp[ Λ v1 (1 Λ v1) θ 1(1 Λ v1 )θ (1 Λ 1v )θ Λ 1v +(1 Λ 1v )θ ] MathType@MTEF@5@5@+= feaagKart1ev2aqatCvAUfeBSjuyZL2yd9gzLbvyNv2CaerbuLwBLn hiov2DGi1BTfMBaeXatLxBI9gBaerbd9wDYLwzYbItLDharqqtubsr 4rNCHbGeaGqiVu0Je9sqqrpepC0xbbL8F4rqqrFfpeea0xe9Lq=Jc9 vqaqpepm0xbba9pwe9Q8fs0=yqaqpepae9pg0FirpepeKkFr0xfr=x fr=xb9adbaqaaeGaciGaaiaabeqaamaabaabaaGcbiqaaWYecaWGqb Gaeyypa0ZaamWaaeaadaWcaaqaaiaad6gadaqhaaWcbaGaaGymaaqa aiabg6HiLcaaaOqaaiaadkgadaWgaaWcbaGaaGymaaqabaaaaOWaaS aaaeaacqaH4oqCaeaacaaIXaGaeyOeI0IaeqiUdehaaaGaay5waiaa w2faamaadmaabaGaeu4MdW0aaSbaaSqaaiaaigdacaWG2baabeaakm aalaaabaGaaGymaiabgkHiTiaacIcacaaIXaGaeyOeI0Iaeu4MdW0a aSbaaSqaaiaadAhacaaIXaaabeaakiaacMcacqaH4oqCaeaacqqHBo atdaWgaaWcbaGaaGymaiaadAhaaeqaaOGaey4kaSIaaiikaiaaigda cqGHsislcqqHBoatdaWgaaWcbaGaamODaiaaigdaaeqaaOGaaiykai abeI7aXbaaaiaawUfacaGLDbaaciGGLbGaaiiEaiaacchadaWadaqa aiabgkHiTmaalaaabaGaeu4MdW0aaSbaaSqaaiaadAhacaaIXaaabe aakiaacIcacaaIXaGaeyOeI0Iaeu4MdW0aaSbaaSqaaiaadAhacaaI XaGaaiykaaqabaGccqaH4oqCaeaacaaIXaGaeyOeI0Iaaiikaiaaig dacqGHsislcqqHBoatdaWgaaWcbaGaamODaiaaigdaaeqaaOGaaiyk aiabeI7aXbaacqGHsisldaWcaaqaaiaacIcacaaIXaGaeyOeI0Iaeu 4MdW0aaSbaaSqaaiaaigdacaWG2baabeaakiaacMcacqaH4oqCaeaa cqqHBoatdaWgaaWcbaGaaGymaiaadAhaaeqaaOGaey4kaSIaaiikai aaigdacqGHsislcqqHBoatdaWgaaWcbaGaaGymaiaadAhaaeqaaOGa aiykaiabeI7aXbaaaiaawUfacaGLDbaaaaa@9059@ Equation 5

For multi-component adsorption calculations, the general form of the VSM is given as

ϕ i y i P= γ i s x i n m s n i s, Λ i3 n m s, b i exp( Λ 3i 1)exp( π a i RT ) MathType@MTEF@5@5@+= feaagKart1ev2aqatCvAUfeBSjuyZL2yd9gzLbvyNv2CaerbuLwBLn hiov2DGi1BTfMBaeXatLxBI9gBaerbd9wDYLwzYbItLDharqqtubsr 4rNCHbGeaGqiVu0Je9sqqrpepC0xbbL8F4rqqrFfpeea0xe9Lq=Jc9 vqaqpepm0xbba9pwe9Q8fs0=yqaqpepae9pg0FirpepeKkFr0xfr=x fr=xb9adbaqaaeGaciGaaiaabeqaamaabaabaaGcbaGaeqy1dy2aaS baaSqaaiaadMgaaeqaaOGaamyEamaaBaaaleaacaWGPbaabeaakiaa dcfacqGH9aqpcqaHZoWzdaqhaaWcbaGaamyAaaqaaiaadohaaaGcca WG4bWaaSbaaSqaaiaadMgaaeqaaOGaamOBamaaDaaaleaacaWGTbaa baGaam4CaaaakmaalaaabaGaamOBamaaDaaaleaacaWGPbaabaGaam 4CaiaacYcacqGHEisPaaGccqqHBoatdaWgaaWcbaGaamyAaiaaioda aeqaaaGcbaGaamOBamaaDaaaleaacaWGTbaabaGaam4CaiaacYcacq GHEisPaaGccaWGIbWaaSbaaSqaaiaadMgaaeqaaaaakiGacwgacaGG 4bGaaiiCaiaacIcacqqHBoatdaWgaaWcbaGaaG4maiaadMgaaeqaaO GaeyOeI0IaaGymaiaacMcaciGGLbGaaiiEaiaacchadaqadaqaamaa laaabaGaeqiWdaNaamyyamaaBaaaleaacaWGPbaabeaaaOqaaiaadk facaWGubaaaaGaayjkaiaawMcaaaaa@68CD@ Equation 6

The fugacity coefficient is set to unity for gas adsorption at moderate pressures. Equation 6 is normally solved by trial and error to obtain y i MathType@MTEF@5@5@+= feaagKart1ev2aqatCvAUfeBSjuyZL2yd9gzLbvyNv2CaerbuLwBLn hiov2DGi1BTfMBaeXatLxBI9gBaerbd9wDYLwzYbItLDharqqtubsr 4rNCHbGeaGqiVu0Je9sqqrpepC0xbbL8F4rqqrFfpeea0xe9Lq=Jc9 vqaqpepm0xbba9pwe9Q8fs0=yqaqpepae9pg0FirpepeKkFr0xfr=x fr=xb9adbaqaaeGaciGaaiaabeqaamaabaabaaGcbaGaamyEamaaBa aaleaacaWGPbaabeaaaaa@380F@ and n m s MathType@MTEF@5@5@+= feaagKart1ev2aqatCvAUfeBSjuyZL2yd9gzLbvyNv2CaerbuLwBLn hiov2DGi1BTfMBaeXatLxBI9gBaerbd9wDYLwzYbItLDharqqtubsr 4rNCHbGeaGqiVu0Je9sqqrpepC0xbbL8F4rqqrFfpeea0xe9Lq=Jc9 vqaqpepm0xbba9pwe9Q8fs0=yqaqpepae9pg0FirpepeKkFr0xfr=x fr=xb9adbaqaaeGaciGaaiaabeqaamaabaabaaGcbaGaamOBamaaDa aaleaacaWGTbaabaGaam4Caaaaaaa@3901@ .

Binary Component Models Extended Langmuir Model (EL)

An extension to the Langmuir isotherm was developed by Markham and Benton33 called the extended Langmuir model. This model extends the Langmuir model to include a multi-component system by taking into consideration the partial pressures and molar composition. This model has been used widely in the prediction of multi-component adsorption.  One of the main critiques of this model is the issue of thermodynamic inconsistency. For a thermodynamic consistent model, this means the sorption limit must be equal for all the components.6 Equation 7 is used to represent the EL model for multi-component systems.34

V a = i=1 n V Li ( P g y i ) P Li + j=1 n 1 P Lj ( y j P g ) MathType@MTEF@5@5@+= feaagKart1ev2aqatCvAUfeBSjuyZL2yd9gzLbvyNv2CaerbuLwBLn hiov2DGi1BTfMBaeXatLxBI9gBaerbd9wDYLwzYbItLDharqqtubsr 4rNCHbGeaGqiVu0Je9sqqrpepC0xbbL8F4rqqrFfpeea0xe9Lq=Jc9 vqaqpepm0xbba9pwe9Q8fs0=yqaqpepae9pg0FirpepeKkFr0xfr=x fr=xb9adbaqaaeGaciGaaiaabeqaamaabaabaaGcbaGaamOvamaaBa aaleaacaWGHbaabeaakiabg2da9maaqahabaWaaSaaaeaacaWGwbWa aSbaaSqaaiaadYeacaWGPbaabeaakiaacIcacaWGqbWaaSbaaSqaai aadEgaaeqaaOGaamyEamaaBaaaleaacaWGPbaabeaakiaacMcaaeaa caWGqbWaaSbaaSqaaiaadYeacaWGPbaabeaakiabgUcaRmaaqahaba WaaSaaaeaacaaIXaaabaGaamiuamaaBaaaleaacaWGmbGaamOAaaqa baaaaOGaaiikaiaadMhadaWgaaWcbaGaamOAaaqabaGccaWGqbWaaS baaSqaaiaadEgaaeqaaOGaaiykaaWcbaGaamOAaiabg2da9iaaigda aeaacaWGUbaaniabggHiLdaaaaWcbaGaamyAaiabg2da9iaaigdaae aacaWGUbaaniabggHiLdaaaa@59C4@ Equation 7

Where  V Li MathType@MTEF@5@5@+= feaagKart1ev2aqatCvAUfeBSjuyZL2yd9gzLbvyNv2CaerbuLwBLn hiov2DGi1BTfMBaeXatLxBI9gBaerbd9wDYLwzYbItLDharqqtubsr 4rNCHbGeaGqiVu0Je9sqqrpepC0xbbL8F4rqqrFfpeea0xe9Lq=Jc9 vqaqpepm0xbba9pwe9Q8fs0=yqaqpepae9pg0FirpepeKkFr0xfr=x fr=xb9adbaqaaeGaciGaaiaabeqaamaabaabaaGcbaGaamOvamaaBa aaleaacaWGmbGaamyAaaqabaaaaa@38BD@ = Langmuir volume constant for pure component I, (SCF/Ton), P Li MathType@MTEF@5@5@+= feaagKart1ev2aqatCvAUfeBSjuyZL2yd9gzLbvyNv2CaerbuLwBLn hiov2DGi1BTfMBaeXatLxBI9gBaerbd9wDYLwzYbItLDharqqtubsr 4rNCHbGeaGqiVu0Je9sqqrpepC0xbbL8F4rqqrFfpeea0xe9Lq=Jc9 vqaqpepm0xbba9pwe9Q8fs0=yqaqpepae9pg0FirpepeKkFr0xfr=x fr=xb9adbaqaaeGaciGaaiaabeqaamaabaabaaGcbaGaamiuamaaBa aaleaacaWGmbGaamyAaaqabaaaaa@38B7@ = Langmuir pressure constant for pure component i, (psia), y i MathType@MTEF@5@5@+= feaagKart1ev2aqatCvAUfeBSjuyZL2yd9gzLbvyNv2CaerbuLwBLn hiov2DGi1BTfMBaeXatLxBI9gBaerbd9wDYLwzYbItLDharqqtubsr 4rNCHbGeaGqiVu0Je9sqqrpepC0xbbL8F4rqqrFfpeea0xe9Lq=Jc9 vqaqpepm0xbba9pwe9Q8fs0=yqaqpepae9pg0FirpepeKkFr0xfr=x fr=xb9adbaqaaeGaciGaaiaabeqaamaabaabaaGcbaGaamyEamaaBa aaleaacaWGPbaabeaaaaa@380F@ = Gas phase composition of component I, (fraction), P g MathType@MTEF@5@5@+= feaagKart1ev2aqatCvAUfeBSjuyZL2yd9gzLbvyNv2CaerbuLwBLn hiov2DGi1BTfMBaeXatLxBI9gBaerbd9wDYLwzYbItLDharqqtubsr 4rNCHbGeaGqiVu0Je9sqqrpepC0xbbL8F4rqqrFfpeea0xe9Lq=Jc9 vqaqpepm0xbba9pwe9Q8fs0=yqaqpepae9pg0FirpepeKkFr0xfr=x fr=xb9adbaqaaeGaciGaaiaabeqaamaabaabaaGcbaGaamiuamaaBa aaleaacaWGNbaabeaaaaa@37E4@ = Gas phase pressure, (psia), V a MathType@MTEF@5@5@+= feaagKart1ev2aqatCvAUfeBSjuyZL2yd9gzLbvyNv2CaerbuLwBLn hiov2DGi1BTfMBaeXatLxBI9gBaerbd9wDYLwzYbItLDharqqtubsr 4rNCHbGeaGqiVu0Je9sqqrpepC0xbbL8F4rqqrFfpeea0xe9Lq=Jc9 vqaqpepm0xbba9pwe9Q8fs0=yqaqpepae9pg0FirpepeKkFr0xfr=x fr=xb9adbaqaaeGaciGaaiaabeqaamaabaabaaGcbaGaamOvamaaBa aaleaacaWGHbaabeaaaaa@37E4@ = Adsorbed volume of component , (SCF/Ton)

Ideal Adsorbed Solution

Ideal adsorbed solution theory can be used to predict binary adsorption equilibrium for various mixtures from pure component adsorption data. This theory was first proposed by Meyers and Prausnitz.35 For multi-component adsorption prediction, it has quickly established itself as one of the favoured methods.  The key assumption under which the IAST was derived was based on the fact that the adsorbed mixture behaves like an ideal adsorbed solution. This is similar to Raoult's law for a bulk solution.

p y i = p o i (π) x i MathType@MTEF@5@5@+= feaagKart1ev2aqatCvAUfeBSjuyZL2yd9gzLbvyNv2CaerbuLwBLn hiov2DGi1BTfMBaeXatLxBI9gBaerbd9wDYLwzYbItLDharqqtubsr 4rNCHbGeaGqiVu0Je9sqqrpepC0xbbL8F4rqqrFfpeea0xe9Lq=Jc9 vqaqpepm0xbba9pwe9Q8fs0=yqaqpepae9pg0FirpepeKkFr0xfr=x fr=xb9adbaqaaeGaciGaaiaabeqaamaabaabaaGcbiqaaaIccaWGWb GaamyEamaaBaaaleaacaWGPbaabeaakiabg2da9iaadchadaahaaWc beqaaiaad+gaaaGcdaWgaaWcbaGaamyAaaqabaGccaGGOaGaeqiWda NaaiykaiaadIhadaWgaaWcbaGaamyAaaqabaaaaa@42B2@ Equation 8

p o i MathType@MTEF@5@5@+= feaagKart1ev2aqatCvAUfeBSjuyZL2yd9gzLbvyNv2CaerbuLwBLn hiov2DGi1BTfMBaeXatLxBI9gBaerbd9wDYLwzYbItLDharqqtubsr 4rNCHbGeaGqiVu0Je9sqqrpepC0xbbL8F4rqqrFfpeea0xe9Lq=Jc9 vqaqpepm0xbba9pwe9Q8fs0=yqaqpepae9pg0FirpepeKkFr0xfr=x fr=xb9adbaqaaeGaciGaaiaabeqaamaabaabaaGcbaGaamiCamaaCa aaleqabaGaam4BaaaakmaaBaaaleaacaWGPbaabeaaaaa@3931@ is the vapour pressure of the pure component I, at the same spreading pressure and same temperature T, as the adsorbed mixture. x i MathType@MTEF@5@5@+= feaagKart1ev2aqatCvAUfeBSjuyZL2yd9gzLbvyNv2CaerbuLwBLn hiov2DGi1BTfMBaeXatLxBI9gBaerbd9wDYLwzYbItLDharqqtubsr 4rNCHbGeaGqiVu0Je9sqqrpepC0xbbL8F4rqqrFfpeea0xe9Lq=Jc9 vqaqpepm0xbba9pwe9Q8fs0=yqaqpepae9pg0FirpepeKkFr0xfr=x fr=xb9adbaqaaeGaciGaaiaabeqaamaabaabaaGcbaGaamiEamaaBa aaleaacaWGPbaabeaaaaa@380E@ is the sorbed phase gas mole fraction, π MathType@MTEF@5@5@+= feaagKart1ev2aqatCvAUfeBSjuyZL2yd9gzLbvyNv2CaerbuLwBLn hiov2DGi1BTfMBaeXatLxBI9gBaerbd9wDYLwzYbItLDharqqtubsr 4rNCHbGeaGqiVu0Je9sqqrpepC0xbbL8F4rqqrFfpeea0xe9Lq=Jc9 vqaqpepm0xbba9pwe9Q8fs0=yqaqpepae9pg0FirpepeKkFr0xfr=x fr=xb9adbaqaaeGaciGaaiaabeqaamaabaabaaGcbaGaeqiWdahaaa@37B4@ is the spreading pressure, where the spreading pressure is defined as the reduction in the surface tension of the surface as the adsorbate spreads over the surface.36 The relationship between  p o i MathType@MTEF@5@5@+= feaagKart1ev2aqatCvAUfeBSjuyZL2yd9gzLbvyNv2CaerbuLwBLn hiov2DGi1BTfMBaeXatLxBI9gBaerbd9wDYLwzYbItLDharqqtubsr 4rNCHbGeaGqiVu0Je9sqqrpepC0xbbL8F4rqqrFfpeea0xe9Lq=Jc9 vqaqpepm0xbba9pwe9Q8fs0=yqaqpepae9pg0FirpepeKkFr0xfr=x fr=xb9adbaqaaeGaciGaaiaabeqaamaabaabaaGcbaGaamiCamaaCa aaleqabaGaam4BaaaakmaaBaaaleaacaWGPbaabeaaaaa@3931@ and  π i MathType@MTEF@5@5@+= feaagKart1ev2aqatCvAUfeBSjuyZL2yd9gzLbvyNv2CaerbuLwBLn hiov2DGi1BTfMBaeXatLxBI9gBaerbd9wDYLwzYbItLDharqqtubsr 4rNCHbGeaGqiVu0Je9sqqrpepC0xbbL8F4rqqrFfpeea0xe9Lq=Jc9 vqaqpepm0xbba9pwe9Q8fs0=yqaqpepae9pg0FirpepeKkFr0xfr=x fr=xb9adbaqaaeGaciGaaiaabeqaamaabaabaaGcbaGaeqiWda3aaS baaSqaaiaadMgaaeqaaaaa@38CE@ is expressed as

π i * = π i A' RT = 0 p i o n a (p) p dp MathType@MTEF@5@5@+= feaagKart1ev2aqatCvAUfeBSjuyZL2yd9gzLbvyNv2CaerbuLwBLn hiov2DGi1BTfMBaeXatLxBI9gBaerbd9wDYLwzYbItLDharqqtubsr 4rNCHbGeaGqiVu0Je9sqqrpepC0xbbL8F4rqqrFfpeea0xe9Lq=Jc9 vqaqpepm0xbba9pwe9Q8fs0=yqaqpepae9pg0FirpepeKkFr0xfr=x fr=xb9adbaqaaeGaciGaaiaabeqaamaabaabaaGcbiqaaqDdcqaHap aCdaWgaaWcbaGaamyAaaqabaGcdaahaaWcbeqaaiaacQcaaaGccqGH 9aqpdaWcaaqaaiabec8aWnaaBaaaleaacaWGPbaabeaakiaadgeaca GGNaaabaGaamOuaiaadsfaaaGaeyypa0Zaa8qCaeaadaWcaaqaaiaa d6gadaWgaaWcbaGaamyyaaqabaGccaGGOaGaamiCaiaacMcaaeaaca WGWbaaaiaadsgacaWGWbaaleaacaaIWaaabaGaamiCamaaBaaameaa caWGPbaabeaalmaaCaaameqabaGaam4Baaaaa0Gaey4kIipaaaa@505F@ Equation 9

The condition below needs to be satisfied for both adsorbed mole fractions and mole fractions of the free gas.

j=1 N y i =1 MathType@MTEF@5@5@+= feaagKart1ev2aqatCvAUfeBSjuyZL2yd9gzLbvyNv2CaerbuLwBLn hiov2DGi1BTfMBaeXatLxBI9gBaerbd9wDYLwzYbItLDharqqtubsr 4rNCHbGeaGqiVu0Je9sqqrpepC0xbbL8F4rqqrFfpeea0xe9Lq=Jc9 vqaqpepm0xbba9pwe9Q8fs0=yqaqpepae9pg0FirpepeKkFr0xfr=x fr=xb9adbaqaaeGaciGaaiaabeqaamaabaabaaGcbaWaaabCaeaaca WG5bWaaSbaaSqaaiaadMgaaeqaaOGaeyypa0JaaGymaaWcbaGaamOA aiabg2da9iaaigdaaeaacaWGobaaniabggHiLdaaaa@3F9F@

j=1 N x i =1 MathType@MTEF@5@5@+= feaagKart1ev2aqatCvAUfeBSjuyZL2yd9gzLbvyNv2CaerbuLwBLn hiov2DGi1BTfMBaeXatLxBI9gBaerbd9wDYLwzYbItLDharqqtubsr 4rNCHbGeaGqiVu0Je9sqqrpepC0xbbL8F4rqqrFfpeea0xe9Lq=Jc9 vqaqpepm0xbba9pwe9Q8fs0=yqaqpepae9pg0FirpepeKkFr0xfr=x fr=xb9adbaqaaeGaciGaaiaabeqaamaabaabaaGcbaWaaabCaeaaca WG4bWaaSbaaSqaaiaadMgaaeqaaOGaeyypa0JaaGymaaWcbaGaamOA aiabg2da9iaaigdaaeaacaWGobaaniabggHiLdaaaa@3F9E@ ,

Total adsorbed gas in the mixture is given as

1 n t = i=1 n c x i n i o MathType@MTEF@5@5@+= feaagKart1ev2aqatCvAUfeBSjuyZL2yd9gzLbvyNv2CaerbuLwBLn hiov2DGi1BTfMBaeXatLxBI9gBaerbd9wDYLwzYbItLDharqqtubsr 4rNCHbGeaGqiVu0Je9sqqrpepC0xbbL8F4rqqrFfpeea0xe9Lq=Jc9 vqaqpepm0xbba9pwe9Q8fs0=yqaqpepae9pg0FirpepeKkFr0xfr=x fr=xb9adbaqaaeGaciGaaiaabeqaamaabaabaaGcbaWaaSaaaeaaca aIXaaabaGaamOBamaaBaaaleaacaWG0baabeaaaaGccqGH9aqpdaae WbqaamaalaaabaGaamiEamaaBaaaleaacaWGPbaabeaaaOqaamaava dabeWcbaGaamyAaaqaaiaad+gaa0qaaiaad6gaaaaaaaWcbaGaamyA aiabg2da9iaaigdaaeaacaWGUbWaaSbaaWqaaiaadogaaeqaaaqdcq GHris5aaaa@464E@ Equation 10

The amount of each component adsorbed in the mixture is given as

n i = n t x i MathType@MTEF@5@5@+= feaagKart1ev2aqatCvAUfeBSjuyZL2yd9gzLbvyNv2CaerbuLwBLn hiov2DGi1BTfMBaeXatLxBI9gBaerbd9wDYLwzYbItLDharqqtubsr 4rNCHbGeaGqiVu0Je9sqqrpepC0xbbL8F4rqqrFfpeea0xe9Lq=Jc9 vqaqpepm0xbba9pwe9Q8fs0=yqaqpepae9pg0FirpepeKkFr0xfr=x fr=xb9adbaqaaeGaciGaaiaabeqaamaabaabaaGcbaGaamOBamaaBa aaleaacaWGPbaabeaakiabg2da9iaad6gadaWgaaWcbaGaamiDaaqa baGccaWG4bWaaSbaaSqaaiaadMgaaeqaaaaa@3D4D@

Any pure component adsorption isotherm could be used in the above equation to evaluate the spreading pressure.

Temperature Dependent Models

Adsorption in shale gas reservoirs is not only a function of pressure but also temperature. Hence, adsorption models should be able to predict the adsorption capacities at several temperatures. The existence of a geothermal gradient in most reservoirs implies, temperature differential at different depths in the reservoir and due to the effect of temperature on gas adsorption, the original gas in place will differ at different depths.21 Two of the most widely used temperature-dependent adsorption models are the Bi-Langmuir model and the Exponential model.

Bi-Langmuir Model

Lu et al.,13 conducted studies on Devonian shales and observed that the adsorption capacity of Devonian shales decreased at increasing temperature. They proposed the use of Bi-Langmuir model to describe the gas adsorption at several temperatures. The model describes gas adsorption on an adsorbent based on having two discrete sharp peaks of energy distribution. They noted that clay and kerogen mineral components are two main factors responsible for gas storage in Devonian shales. Thus, one term of the equation describes the gas adsorption on clay minerals and the other describing gas adsorption on kerogen.

N ads N m = f 1 k 1 ( T )p 1+ k 1 ( T )p +( 1 f 1 ) k 2 ( T )p 1+ k 2 ( T )p MathType@MTEF@5@5@+= feaagKart1ev2aqatCvAUfeBSjuyZL2yd9gzLbvyNv2CaerbuLwBLn hiov2DGi1BTfMBaeXatLxBI9gBaerbd9wDYLwzYbItLDharqqtubsr 4rNCHbGeaGqiVu0Je9sqqrpepC0xbbL8F4rqqrFfpeea0xe9Lq=Jc9 vqaqpepm0xbba9pwe9Q8fs0=yqaqpepae9pg0FirpepeKkFr0xfr=x fr=xb9adbaqaaeGaciGaaiaabeqaamaabaabaaGcbaWaaSaaaeaaca WGobWaaSbaaSqaaiaadggacaWGKbGaam4CaaqabaaakeaacaWGobWa aSbaaSqaaiaad2gaaeqaaaaakiabg2da9iaadAgadaWgaaWcbaGaaG ymaaqabaGcdaWcaaqaaiaadUgadaWgaaWcbaGaaGymaaqabaGcdaqa daqaaiaadsfaaiaawIcacaGLPaaacaWGWbaabaGaaGymaiabgUcaRi aadUgadaWgaaWcbaGaaGymaaqabaGcdaqadaqaaiaadsfaaiaawIca caGLPaaacaWGWbaaaiabgUcaRmaabmaabaGaaGymaiabgkHiTiaadA gadaWgaaWcbaGaaGymaaqabaaakiaawIcacaGLPaaadaWcaaqaaiaa dUgadaWgaaWcbaGaaGOmaaqabaGcdaqadaqaaiaadsfaaiaawIcaca GLPaaacaWGWbaabaGaaGymaiabgUcaRiaadUgadaWgaaWcbaGaaGOm aaqabaGcdaqadaqaaiaadsfaaiaawIcacaGLPaaacaWGWbaaaaaa@5CDF@ Equation 11

k(T)= k 0 T 1/2 exp( E/ RT ) MathType@MTEF@5@5@+= feaagKart1ev2aqatCvAUfeBSjuyZL2yd9gzLbvyNv2CaerbuLwBLn hiov2DGi1BTfMBaeXatLxBI9gBaerbd9wDYLwzYbItLDharqqtubsr 4rNCHbGeaGqiVCI8FfYJH8YrFfeuY=Hhbbf9v8qqaqFr0xc9pk0xbb a9q8WqFfeaY=biLkVcLq=JHqpepeea0=as0Fb9pgeaYRXxe9vr0=vr 0=vqpWqaaeaabiGaciaacaqabeaadaqaaqaaaOqaaiaadUgacaGGOa GaamivaiaacMcacqGH9aqpcaWGRbWaaSbaaSqaaiaaicdaaeqaaOGa amivamaaCaaaleqabaGaeyOeI0IaaGymaiaac+cacaaIYaaaaOGaci yzaiaacIhacaGGWbWaaeWaaeaadaWcgaqaaiabgkHiTiaadweaaeaa caWGsbGaamivaaaaaiaawIcacaGLPaaaaaa@47FC@

f MathType@MTEF@5@5@+= feaagKart1ev2aqatCvAUfeBSjuyZL2yd9gzLbvyNv2CaerbuLwBLn hiov2DGi1BTfMBaeXatLxBI9gBaerbd9wDYLwzYbItLDharqqtubsr 4rNCHbGeaGqiVCI8FfYJH8YrFfeuY=Hhbbf9v8qqaqFr0xc9pk0xbb a9q8WqFfeaY=biLkVcLq=JHqpepeea0=as0Fb9pgeaYRXxe9vr0=vr 0=vqpWqaaeaabiGaciaacaqabeaadaqaaqaaaOqaaiaadAgaaaa@36D7@ = fraction of adsorption site, k MathType@MTEF@5@5@+= feaagKart1ev2aqatCvAUfeBSjuyZL2yd9gzLbvyNv2CaerbuLwBLn hiov2DGi1BTfMBaeXatLxBI9gBaerbd9wDYLwzYbItLDharqqtubsr 4rNCHbGeaGqiVCI8FfYJH8YrFfeuY=Hhbbf9v8qqaqFr0xc9pk0xbb a9q8WqFfeaY=biLkVcLq=JHqpepeea0=as0Fb9pgeaYRXxe9vr0=vr 0=vqpWqaaeaabiGaciaacaqabeaadaqaaqaaaOqaaiaadUgaaaa@36DC@ = adsorption equilibrium constant, L2/m,1/psi, N m MathType@MTEF@5@5@+= feaagKart1ev2aqatCvAUfeBSjuyZL2yd9gzLbvyNv2CaerbuLwBLn hiov2DGi1BTfMBaeXatLxBI9gBaerbd9wDYLwzYbItLDharqqtubsr 4rNCHbGeaGqiVCI8FfYJH8YrFfeuY=Hhbbf9v8qqaqFr0xc9pk0xbb a9q8WqFfeaY=biLkVcLq=JHqpepeea0=as0Fb9pgeaYRXxe9vr0=vr 0=vqpWqaaeaabiGaciaacaqabeaadaqaaqaaaOqaaiaad6eadaWgaa WcbaGaamyBaaqabaaaaa@37DD@ =amount of adsorbed gas per unit volume adsorbent, L3/L3,scf/ft3, E MathType@MTEF@5@5@+= feaagKart1ev2aqatCvAUfeBSjuyZL2yd9gzLbvyNv2CaerbuLwBLn hiov2DGi1BTfMBaeXatLxBI9gBaerbd9wDYLwzYbItLDharqqtubsr 4rNCHbGeaGqiVCI8FfYJH8YrFfeuY=Hhbbf9v8qqaqFr0xc9pk0xbb a9q8WqFfeaY=biLkVcLq=JHqpepeea0=as0Fb9pgeaYRXxe9vr0=vr 0=vqpWqaaeaabiGaciaacaqabeaadaqaaqaaaOqaaiaadweaaaa@36B6@ =Adsorption energy

Exponential Model

The assumption of constant Langmuir volume is not always true and this has been argued by various researchers by conducting experiments to show the dependency of Langmuir volume on temperature. Thus, the Langmuir volume decreases with increasing temperature.13,16,37 Ye et al.,37 defined a new improved Langmuir model that took into account the temperature dependency of the Langmuir volume. By modifying the Langmuir constant to be a function of temperature, a new exponential relation was defined between Langmuir constant and temperature as

V L = V s exp( D T T) MathType@MTEF@5@5@+= feaagKart1ev2aqatCvAUfeBSjuyZL2yd9gzLbvyNv2CaerbuLwBLn hiov2DGi1BTfMBaeXatLxBI9gBaerbd9wDYLwzYbItLDharqqtubsr 4rNCHbGeaGqiVu0Je9sqqrpepC0xbbL8F4rqqrFfpeea0xe9Lq=Jc9 vqaqpepm0xbba9pwe9Q8fs0=yqaqpepae9pg0FirpepeKkFr0xfr=x fr=xb9adbaqaaeGaciGaaiaabeqaamaabaabaaGcbaGaamOvamaaBa aaleaacaWGmbaabeaakiabg2da9iaadAfadaWgaaWcbaGaam4Caaqa baGcciGGLbGaaiiEaiaacchacaGGOaGaeyOeI0IaamiramaaBaaale aacaWGubaabeaakiaadsfacaGGPaaaaa@42BA@ Equation 12

The final modified model referred to as the Exponential model is written below

V= V s exp( D T T)p p+ T / [ Aexp( B T ) ] MathType@MTEF@5@5@+= feaagKart1ev2aqatCvAUfeBSjuyZL2yd9gzLbvyNv2CaerbuLwBLn hiov2DGi1BTfMBaeXatLxBI9gBaerbd9wDYLwzYbItLDharqqtubsr 4rNCHbGeaGqiVu0Je9sqqrpepC0xbbL8F4rqqrFfpeea0xe9Lq=Jc9 vqaqpepm0xbba9pwe9Q8fs0=yqaqpepae9pg0FirpepeKkFr0xfr=x fr=xb9adbaqaaeGaciGaaiaabeqaamaabaabaaGcbaGaamOvaiabg2 da9maalaaabaGaamOvamaaBaaaleaacaWGZbaabeaakiGacwgacaGG 4bGaaiiCaiaacIcacqGHsislcaWGebWaaSbaaSqaaiaadsfaaeqaaO GaamivaiaacMcacaWGWbaabaGaamiCaiabgUcaRmaalyaabaWaaOaa aeaacaWGubaaleqaaaGcbaWaamWaaeaacaWGbbGaciyzaiaacIhaca GGWbWaaeWaaeaadaWccaqaaiaadkeaaeaacaWGubaaaaGaayjkaiaa wMcaaaGaay5waiaaw2faaaaaaaaaaa@4E71@ Equation 13

The coefficients V s MathType@MTEF@5@5@+= feaagKart1ev2aqatCvAUfeBSjuyZL2yd9gzLbvyNv2CaerbuLwBLn hiov2DGi1BTfMBaeXatLxBI9gBaerbd9wDYLwzYbItLDharqqtubsr 4rNCHbGeaGqiVu0Je9sqqrpepC0xbbL8F4rqqrFfpeea0xe9Lq=Jc9 vqaqpepm0xbba9pwe9Q8fs0=yqaqpepae9pg0FirpepeKkFr0xfr=x fr=xb9adbaqaaeGaciGaaiaabeqaamaabaabaaGcbaGaamOvamaaBa aaleaacaWGZbaabeaaaaa@37F6@ , D T MathType@MTEF@5@5@+= feaagKart1ev2aqatCvAUfeBSjuyZL2yd9gzLbvyNv2CaerbuLwBLn hiov2DGi1BTfMBaeXatLxBI9gBaerbd9wDYLwzYbItLDharqqtubsr 4rNCHbGeaGqiVu0Je9sqqrpepC0xbbL8F4rqqrFfpeea0xe9Lq=Jc9 vqaqpepm0xbba9pwe9Q8fs0=yqaqpepae9pg0FirpepeKkFr0xfr=x fr=xb9adbaqaaeGaciGaaiaabeqaamaabaabaaGcbaGaamiramaaBa aaleaacaWGubaabeaaaaa@37C5@ , A MathType@MTEF@5@5@+= feaagKart1ev2aqatCvAUfeBSjuyZL2yd9gzLbvyNv2CaerbuLwBLn hiov2DGi1BTfMBaeXatLxBI9gBaerbd9wDYLwzYbItLDharqqtubsr 4rNCHbGeaGqiVu0Je9sqqrpepC0xbbL8F4rqqrFfpeea0xe9Lq=Jc9 vqaqpepm0xbba9pwe9Q8fs0=yqaqpepae9pg0FirpepeKkFr0xfr=x fr=xb9adbaqaaeGaciGaaiaabeqaamaabaabaaGcbaGaamyqaaaa@36BD@ , B MathType@MTEF@5@5@+= feaagKart1ev2aqatCvAUfeBSjuyZL2yd9gzLbvyNv2CaerbuLwBLn hiov2DGi1BTfMBaeXatLxBI9gBaerbd9wDYLwzYbItLDharqqtubsr 4rNCHbGeaGqiVu0Je9sqqrpepC0xbbL8F4rqqrFfpeea0xe9Lq=Jc9 vqaqpepm0xbba9pwe9Q8fs0=yqaqpepae9pg0FirpepeKkFr0xfr=x fr=xb9adbaqaaeGaciGaaiaabeqaamaabaabaaGcbaGaamOqaaaa@36BE@ in equation 11 can be determined by fitting the experimental adsorption data.

Adsorption model parameter determination using Non-Linear Regression

Sum of Squared Error Function (SSE)

This is probably the most common of all the error functions. It is given as

SSE= ( i=1 N X ical X iexp ) 2 MathType@MTEF@5@5@+= feaagKart1ev2aqatCvAUfeBSjuyZL2yd9gzLbvyNv2CaerbuLwBLn hiov2DGi1BTfMBaeXatLxBI9gBaerbd9wDYLwzYbItLDharqqtubsr 4rNCHbGeaGqiVu0Je9sqqrpepC0xbbL8F4rqqrFfpeea0xe9Lq=Jc9 vqaqpepm0xbba9pwe9Q8fs0=yqaqpepae9pg0FirpepeKkFr0xfr=x fr=xb9adbaqaaeGaciGaaiaabeqaamaabaabaaGcbaGaam4uaiaado facaWGfbGaeyypa0ZaaOaaaeaadaqadaqaamaaqahabaGaamiwamaa BaaaleaacaWGPbGaam4yaiaadggacaWGSbaabeaakiabgkHiTiaadI fadaWgaaWcbaGaamyAaiGacwgacaGG4bGaaiiCaaqabaaabaGaamyA aiabg2da9iaaigdaaeaacaWGobaaniabggHiLdaakiaawIcacaGLPa aadaahaaWcbeqaaiaaikdaaaaabeaaaaa@4C3B@ Equation 14

Average Relative Error Function (ARE)

This has been used by many researchers to find optimal adsorption model in shale/coal gas reservoirs.6,21,38 It involves minimising the fractional error distribution across the whole range of independent variables.23,24 This is defined as

ARE=100*ABS{ i=1 N [ ( ( X ical X iexp ) X iexp ) ] N } MathType@MTEF@5@5@+= feaagKart1ev2aqatCvAUfeBSjuyZL2yd9gzLbvyNv2CaerbuLwBLn hiov2DGi1BTfMBaeXatLxBI9gBaerbd9wDYLwzYbItLDharqqtubsr 4rNCHbGeaGqiVu0Je9sqqrpepC0xbbL8F4rqqrFfpeea0xe9Lq=Jc9 vqaqpepm0xbba9pwe9Q8fs0=yqaqpepae9pg0FirpepeKkFr0xfr=x fr=xb9adbaqaaeGaciGaaiaabeqaamaabaabaaGcbaGaamyqaiaadk facaWGfbGaeyypa0JaaGymaiaaicdacaaIWaGaaiOkaiaadgeacaWG cbGaam4uamaacmaabaWaaSaaaeaadaaeWbqaamaadmaabaWaaeWaae aadaWccaqaamaabmaabaGaamiwamaaBaaaleaacaWGPbGaam4yaiaa dggacaWGSbaabeaakiabgkHiTiaadIfadaWgaaWcbaGaamyAaiGacw gacaGG4bGaaiiCaaqabaaakiaawIcacaGLPaaaaeaacaWGybWaaSba aSqaaiaadMgaciGGLbGaaiiEaiaacchaaeqaaaaaaOGaayjkaiaawM caaaGaay5waiaaw2faaaWcbaGaamyAaiabg2da9iaaigdaaeaacaWG obaaniabggHiLdaakeaacaWGobaaaaGaay5Eaiaaw2haaaaa@5C03@ Equation 15

Sum of Absolute Error Function (SAE)

This is seen as very similar to Sum of Squared Error and is given as

SAE= i=1 N | X ical X iexp | MathType@MTEF@5@5@+= feaagKart1ev2aqatCvAUfeBSjuyZL2yd9gzLbvyNv2CaerbuLwBLn hiov2DGi1BTfMBaeXatLxBI9gBaerbd9wDYLwzYbItLDharqqtubsr 4rNCHbGeaGqiVCI8FfYJH8YrFfeuY=Hhbbf9v8qqaqFr0xc9pk0xbb a9q8WqFfeaY=biLkVcLq=JHqpepeea0=as0Fb9pgeaYRXxe9vr0=vr 0=vqpWqaaeaabiGaciaacaqabeaadaqaaqaaaOqaaiaadofacaWGbb Gaamyraiabg2da9maaqahabaGaaiiFaiaadIfadaWgaaWcbaGaamyA aiaadogacaWGHbGaamiBaaqabaGccqGHsislcaWGybWaaSbaaSqaai aadMgaciGGLbGaaiiEaiaacchaaeqaaOGaaiiFaaWcbaGaamyAaiab g2da9iaaigdaaeaacaWGobaaniabggHiLdaaaa@4BA7@ Equation 16

Marquardt’s Percent Standard Deviation (MPSD)

This is often seen as an ideal error function in most adsorption studies.23,39 It can be expressed as

MPSD=100 1 Np i=1 N ( X ical X iexp X iexp ) 2 MathType@MTEF@5@5@+= feaagKart1ev2aqatCvAUfeBSjuyZL2yd9gzLbvyNv2CaerbuLwBLn hiov2DGi1BTfMBaeXatLxBI9gBaerbd9wDYLwzYbItLDharqqtubsr 4rNCHbGeaGqiVCI8FfYJH8YrFfeuY=Hhbbf9v8qqaqFr0xc9pk0xbb a9q8WqFfeaY=biLkVcLq=JHqpepeea0=as0Fb9pgeaYRXxe9vr0=vr 0=vqpWqaaeaabiGaciaacaqabeaadaqaaqaaaOqaaiaad2eacaWGqb Gaam4uaiaadseacqGH9aqpcaaIXaGaaGimaiaaicdadaGcaaqaamaa laaabaGaaGymaaqaaiaad6eacqGHsislcaWGWbaaaaWcbeaakmaaqa habaWaaeWaaeaadaWcaaqaaiaadIfadaWgaaWcbaGaamyAaiaadoga caWGHbGaamiBaaqabaGccqGHsislcaWGybWaaSbaaSqaaiaadMgaci GGLbGaaiiEaiaacchaaeqaaaGcbaGaamiwamaaBaaaleaacaWGPbGa ciyzaiaacIhacaGGWbaabeaaaaaakiaawIcacaGLPaaadaahaaWcbe qaaiaaikdaaaaabaGaamyAaiabg2da9iaaigdaaeaacaWGobaaniab ggHiLdaaaa@57AE@ Equation 17

HYBRID Fractional Error Function (HYBRID)

At low-pressure values, the HYBRID function improves the overall fitting of the model to the experimental data compared to some of the other error functions such as SSE.

HYBRID= 100 Np i=1 N ( ( X ical X iexp ) 2 X iexp ) MathType@MTEF@5@5@+= feaagKart1ev2aqatCvAUfeBSjuyZL2yd9gzLbvyNv2CaerbuLwBLn hiov2DGi1BTfMBaeXatLxBI9gBaerbd9wDYLwzYbItLDharqqtubsr 4rNCHbGeaGqiVCI8FfYJH8YrFfeuY=Hhbbf9v8qqaqFr0xc9pk0xbb a9q8WqFfeaY=biLkVcLq=JHqpepeea0=as0Fb9pgeaYRXxe9vr0=vr 0=vqpWqaaeaabiGaciaacaqabeaadaqaaqaaaOqaaiaadIeacaWGzb GaamOqaiaadkfacaWGjbGaamiraiabg2da9maalaaabaGaaGymaiaa icdacaaIWaaabaGaamOtaiabgkHiTiaadchaaaWaaabCaeaadaqada qaamaalaaabaWaaeWaaeaacaWGybWaaSbaaSqaaiaadMgacaWGJbGa amyyaiaadYgaaeqaaOGaeyOeI0IaamiwamaaBaaaleaacaWGPbGaci yzaiaacIhacaGGWbaabeaaaOGaayjkaiaawMcaamaaCaaaleqabaGa aGOmaaaaaOqaaiaadIfadaWgaaWcbaGaamyAaiGacwgacaGG4bGaai iCaaqabaaaaaGccaGLOaGaayzkaaaaleaacaWGPbGaeyypa0JaaGym aaqaaiaad6eaa0GaeyyeIuoaaaa@5A04@ Equation 18

Sum of Normalised Error (SNE)

Non-linear regression is mostly preferred to linear regression due to inherent bias resulting from linearization.24,40 According to Porter et al.,40 due to the different set of isotherm parameters produced by the different error criteria,  results were obtained by finding normalised results for each parameter set for each isotherm model and combining them. The procedure involved obtaining the value of errors for each error function for each set of isotherm constants and dividing by the maximum errors for that error function.23 Each parameter has been obtained by minimising the error functions across the gas pressures by using Microsoft Excel Solver add-in.

To conduct the modelling for this studies, three cases have been studied. The first case study uses data from Chareonsuppanimit et al.,20 of gas adsorption of methane, CO2 and Nitrogen on Albany shale. The second case study uses data obtained from Valenzuela and Myers,41 referencing adsorption data on activated carbon by Szepesy and Illés.42 This data have been used primarily to evaluate single and multi-component component adsorption system. The final case study uses data from Zhang et al.16 to evaluate temperature-dependent models.

Experimental Data

Obtaining experimental data for shale gas modelling is a challenging task due to the low adsorption capacities and the range of pressure and temperature under which experiments are conducted.8 Reports of inconsistent results from measurements observed at higher pressures and the lack of available quality database have also contributed to challenges in this area. In particular, very limited experimental binary gas adsorption data on shale are available. Due to this scarcity of available data, adsorption capacity on activated carbon is mostly used by many researchers to model the performance of adsorption model in predicting binary mixtures of gas adsorption capacities on shale. Fitzgerald et al.,43 argued that experimental uncertainty in the use of activated carbon is lower compared to coal which has a similar structure to shale. Also, because coal/ shale has a more complex structure pore to activated carbon, the adsorption on activated carbon can serve as a reference for more complicated adsorption/desorption on coal/shale.44

Model comparison is essential in the study of their capabilities and limitations when fitting pure component isotherms as well as for predicting multi-component systems.  Adsorption data of Methane, Carbon dioxide and Nitrogen on New Albany shale have been obtained from the literature Chareonsuppanimit et al.,20 to model single component gas adsorption. For the purpose of showing the performance of the different binary adsorption models, data of Activated carbon from Szepesy and Illés,42 have been used. For temperature dependent models, pure component data of shale obtained at several temperatures in Green River shale16 have been used to evaluate their performance. All adsorption data obtained from literature and used in this article have been provided in supplementary sheets Table S1-S4.

Methane

Nitrogen

Carbon dioxide

Pressure (MPa)

Excess adsorption (mmol/g)

Pressure (MPa)

Excess adsorption (mmol/g)

Pressure (MPa)

Excess adsorption (mmol/g)

1.45

0.0138

1.47

0.0012

1.7

0.0479

2.85

0.0253

2.86

0.0052

3.06

0.0715

4.23

0.0316

4.23

0.0083

4.76

0.0916

5.63

0.0352

5.62

0.0109

5.66

0.0985

6.99

0.0374

6.99

0.0116

6.96

0.1085

8.36

0.0386

8.37

0.0133

8.26

0.1136

9.76

0.0395

9.77

0.0145

9.75

0.1179

11.12

0.0397

11.14

0.0147

11.4

0.115

12.52

0.0412

12.56

0.0147

12.6

0.0942

Table S1 Excess adsorption data of Methane and Nitrogen in Albany Shale.20

Ethane

Methane

P(Kpa)

n(mmol/g)

P(Kpa)

n(mmol/g)

0.56

0.2432

16.0253

0.1919

2.3465

0.547

27.3577

0.2972

2.5331

0.485

31.464

0.3061

4.5729

0.8049

34.6371

0.3654

4.7329

0.8018

46.5294

0.4556

7.706

1.0642

48.0626

0.464

9.5325

1.169

54.5687

0.5216

11.7723

1.3238

62.608

0.5725

15.1987

1.4979

75.6336

0.6662

17.2385

1.6063

83.4462

0.7103

24.3446

1.8785

83.6329

0.6876

28.4642

1.9802

94.0587

0.8089

32.0373

2.1167

99.8715

0.8143

37.0635

2.2399

112.8304

0.8785

43.9563

2.4108

124.8694

0.9424

50.0624

2.5402

54.2621

2.6169

60.4615

2.72

68.3275

2.8458

72.5938

2.8967

85.0728

3.0658

85.2327

3.0497

101.9913

3.2393

113.257

3.3576

Table S2 Single component Adsorption data for Methane and Ethane on Activated Carbon.41

P(Kpa)

y1 (Ethane)

x1
(Ethane)

n(mmol/g)

101.191

0.066

0.605

1.3456

99.7249

0.083

0.658

1.4116

102.485

0.245

0.852

2.0652

99.7249

0.251

0.859

2.054

99.7249

0.489

0.941

2.6255

102.538

0.519

0.953

2.7692

99.7515

0.731

0.975

2.9887

Table S3 Binary gas Mixture of Ethane and Methane on activated carbon at temperature of 293.15K.41

Temp
35.4 C

Temp
50.4 C

Temp
65.4 C

Pressure

Adsorbed quantities

Pressure

Adsorbed quantities

Pressure

Adsorbed quantities

P(Mpa)

m3/kg

P(Mpa)

m3/kg

P(Mpa)

m3/kg

0.871842

0.003752

0.696501

0.00177

0

0

2.153814

0.006729

1.724883

0.003702

0.822757

0.00161

3.862286

0.009654

3.053614

0.005876

2.009244

0.003703

5.412166

0.011802

4.555932

0.007809

3.369508

0.005797

7.040655

0.013469

6.31131

0.010119

5.014048

0.007785

8.605571

0.014653

8.176682

0.011679

8.239239

0.010876

10.05973

0.015623

9.89964

0.012945

9.993983

0.012383

11.5453

0.016352

11.49609

0.014049

11.57451

0.013326

12.76197

0.016651

12.96573

0.014617

12.74401

0.01392

13.56795

0.017029

13.7876

0.015102

13.5184

0.014298

14.07355

0.017111

14.38809

0.015319

13.97675

0.014568

Table S4 Adsorption capacities of Green River Shale formation at several temperatures.16

Results and Discussion

Single Component Analysis

Tables 1-4 present a set of adsorption isotherm parameters for different adsorption models and the error analysis involving the use of SNE. The values obtained by the use of SNE have been compared to identify parameters of the isotherms that can provide the most accurate match to the measured data on New Albany shale. The bold numbers represent the minimum SNE for each of the isotherm and their associated optimum parameter set for different gas adsorption.

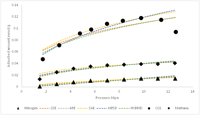
From Table 1 and S6, the Langmuir isotherm parameters for New Albany shale for Methane, CO2 and Nitrogen was obtained using non-linear regression technique. Similar values can be easily observed for the different error functions used in that analysis. The SNE values are very similar for the different gas adsorption with the exception of methane, which showed a much higher SNE for SAE compared with the other error functions. Also, the Langmuir parameter constants  and  are quite similar in magnitude. Overall, we can see that the Langmuir isotherm provided a good fit to the New Albany datasets. ARE provided the best match parameters for Langmuir isotherm of methane and CO2 gas whilst SSE gave the best match for the case of nitrogen adsorption using Langmuir isotherm. Overall the Langmuir isotherm is recommended for modelling the experimental data for New Albany shale for Methane and CO2. As can be observed in Figure 1, the Langmuir isotherm fits very well with the experimental data regardless of which error function is chosen.

Bi-Langmuir model

Sample

Reference

N m std m 3 /kg MathType@MTEF@5@5@+= feaagKart1ev2aqatCvAUfeBSjuyZL2yd9gzLbvyNv2CaerbuLwBLn hiov2DGi1BTfMBaeXatLxBI9gBaerbd9wDYLwzYbItLDharqqtubsr 4rNCHbGeaGqiVCI8FfYJH8YrFfeuY=Hhbbf9v8qqaqFr0xc9pk0xbb a9q8WqFfeaY=biLkVcLq=JHqpepeea0=as0Fb9pgeaYRXxe9vr0=vr 0=vqpWqaaeaabiGaciaacaqabeaadaqaaqaaaOqaaiaad6eadaWgaa WcbaGaamyBaaqabaGccaWGZbGaamiDaiaadsgacaWGTbWaaWbaaSqa beaacaaIZaaaaOGaai4laiaadUgacaWGNbaaaa@3F36@

k 1 1/Mpa MathType@MTEF@5@5@+= feaagKart1ev2aqatCvAUfeBSjuyZL2yd9gzLbvyNv2CaerbuLwBLn hiov2DGi1BTfMBaeXatLxBI9gBaerbd9wDYLwzYbItLDharqqtubsr 4rNCHbGeaGqiVCI8FfYJH8YrFfeuY=Hhbbf9v8qqaqFr0xc9pk0xbb a9q8WqFfeaY=biLkVcLq=JHqpepeea0=as0Fb9pgeaYRXxe9vr0=vr 0=vqpWqaaeaabiGaciaacaqabeaadaqaaqaaaOqaaiaadUgadaWgaa WcbaGaaGymaaqabaGccaaIXaGaai4laiaad2eacaWGWbGaamyyaaaa @3BE8@

k 2 1/Mpa MathType@MTEF@5@5@+= feaagKart1ev2aqatCvAUfeBSjuyZL2yd9gzLbvyNv2CaerbuLwBLn hiov2DGi1BTfMBaeXatLxBI9gBaerbd9wDYLwzYbItLDharqqtubsr 4rNCHbGeaGqiVCI8FfYJH8YrFfeuY=Hhbbf9v8qqaqFr0xc9pk0xbb a9q8WqFfeaY=biLkVcLq=JHqpepeea0=as0Fb9pgeaYRXxe9vr0=vr 0=vqpWqaaeaabiGaciaacaqabeaadaqaaqaaaOqaaiaadUgadaWgaa WcbaGaaGOmaaqabaGccaaIXaGaai4laiaad2eacaWGWbGaamyyaaaa @3BE9@

E 1 J/mol MathType@MTEF@5@5@+= feaagKart1ev2aqatCvAUfeBSjuyZL2yd9gzLbvyNv2CaerbuLwBLn hiov2DGi1BTfMBaeXatLxBI9gBaerbd9wDYLwzYbItLDharqqtubsr 4rNCHbGeaGqiVCI8FfYJH8YrFfeuY=Hhbbf9v8qqaqFr0xc9pk0xbb a9q8WqFfeaY=biLkVcLq=JHqpepeea0=as0Fb9pgeaYRXxe9vr0=vr 0=vqpWqaaeaabiGaciaacaqabeaadaqaaqaaaOqaaiabgkHiTiaadw eadaWgaaWcbaGaaGymaaqabaGccaWGkbGaai4laiaad2gacaWGVbGa amiBaaaa@3CED@

E 2 J/mol MathType@MTEF@5@5@+= feaagKart1ev2aqatCvAUfeBSjuyZL2yd9gzLbvyNv2CaerbuLwBLn hiov2DGi1BTfMBaeXatLxBI9gBaerbd9wDYLwzYbItLDharqqtubsr 4rNCHbGeaGqiVCI8FfYJH8YrFfeuY=Hhbbf9v8qqaqFr0xc9pk0xbb a9q8WqFfeaY=biLkVcLq=JHqpepeea0=as0Fb9pgeaYRXxe9vr0=vr 0=vqpWqaaeaabiGaciaacaqabeaadaqaaqaaaOqaaiabgkHiTiaadw eadaWgaaWcbaGaaGOmaaqabaGccaWGkbGaai4laiaad2gacaWGVbGa amiBaaaa@3CEE@

f 1 MathType@MTEF@5@5@+= feaagKart1ev2aqatCvAUfeBSjuyZL2yd9gzLbvyNv2CaerbuLwBLn hiov2DGi1BTfMBaeXatLxBI9gBaerbd9wDYLwzYbItLDharqqtubsr 4rNCHbGeaGqiVCI8FfYJH8YrFfeuY=Hhbbf9v8qqaqFr0xc9pk0xbb a9q8WqFfeaY=biLkVcLq=JHqpepeea0=as0Fb9pgeaYRXxe9vr0=vr 0=vqpWqaaeaabiGaciaacaqabeaadaqaaqaaaOqaaiaadAgadaWgaa WcbaGaaGymaaqabaaaaa@37BE@

Green River Formation

Zhang et al 2012

0.236

0.000204

 

0.0124

7290.85

13703.5

0.0053

Exponential model

Sample

Reference

V s std m 3 /kg MathType@MTEF@5@5@+= feaagKart1ev2aqatCvAUfeBSjuyZL2yd9gzLbvyNv2CaerbuLwBLn hiov2DGi1BTfMBaeXatLxBI9gBaerbd9wDYLwzYbItLDharqqtubsr 4rNCHbGeaGqiVCI8FfYJH8YrFfeuY=Hhbbf9v8qqaqFr0xc9pk0xbb a9q8WqFfeaY=biLkVcLq=JHqpepeea0=as0Fb9pgeaYRXxe9vr0=vr 0=vqpWqaaeaabiGaciaacaqabeaadaqaaqaaaOqaaiaadAfadaWgaa WcbaGaam4CaaqabaGccaWGZbGaamiDaiaadsgacaWGTbWaaWbaaSqa beaacaaIZaaaaOGaai4laiaadUgacaWGNbaaaa@3F44@

D t 1/K MathType@MTEF@5@5@+= feaagKart1ev2aqatCvAUfeBSjuyZL2yd9gzLbvyNv2CaerbuLwBLn hiov2DGi1BTfMBaeXatLxBI9gBaerbd9wDYLwzYbItLDharqqtubsr 4rNCHbGeaGqiVCI8FfYJH8YrFfeuY=Hhbbf9v8qqaqFr0xc9pk0xbb a9q8WqFfeaY=biLkVcLq=JHqpepeea0=as0Fb9pgeaYRXxe9vr0=vr 0=vqpWqaaeaabiGaciaacaqabeaadaqaaqaaaOqaaiaadseadaWgaa WcbaGaamiDaaqabaGccaaIXaGaai4laiaadUeaaaa@3A22@

A K 1/2 /Mpa MathType@MTEF@5@5@+= feaagKart1ev2aqatCvAUfeBSjuyZL2yd9gzLbvyNv2CaerbuLwBLn hiov2DGi1BTfMBaeXatLxBI9gBaerbd9wDYLwzYbItLDharqqtubsr 4rNCHbGeaGqiVCI8FfYJH8YrFfeuY=Hhbbf9v8qqaqFr0xc9pk0xbb a9q8WqFfeaY=biLkVcLq=JHqpepeea0=as0Fb9pgeaYRXxe9vr0=vr 0=vqpWqaaeaabiGaciaacaqabeaadaqaaqaaaOqaaiaadgeacaWGlb WaaWbaaSqabeaacaaIXaGaai4laiaaikdaaaGccaGGVaGaamytaiaa dchacaWGHbaaaa@3D43@

BK MathType@MTEF@5@5@+= feaagKart1ev2aqatCvAUfeBSjuyZL2yd9gzLbvyNv2CaerbuLwBLn hiov2DGi1BTfMBaeXatLxBI9gBaerbd9wDYLwzYbItLDharqqtubsr 4rNCHbGeaGqiVCI8FfYJH8YrFfeuY=Hhbbf9v8qqaqFr0xc9pk0xbb a9q8WqFfeaY=biLkVcLq=JHqpepeea0=as0Fb9pgeaYRXxe9vr0=vr 0=vqpWqaaeaabiGaciaacaqabeaadaqaaqaaaOqaaiaadkeacaWGlb aaaa@3783@

 

 

Green River Formation

Zhang et al 2012

0.2389

0.000398

0.573

16.061

 

 

Table S5 Best fitted parameters for Bi-Langmuir and Exponential model for Green River formation

SSE

ARE

SAE

MPSD

HYBRID

Methane

V L MathType@MTEF@5@5@+= feaagKart1ev2aqatCvAUfeBSjuyZL2yd9gzLbvyNv2CaerbuLwBLn hiov2DGi1BTfMBaeXatLxBI9gBaerbd9wDYLwzYbItLDharqqtubsr 4rNCHbGeaGqiVu0Je9sqqrpepC0xbbL8F4rqqrFfpeea0xe9Lq=Jc9 vqaqpepm0xbba9pwe9Q8fs0=yqaqpepae9pg0FirpepeKkFr0xfr=x fr=xb9adbaqaaeGaciGaaiaabeqaamaabaabaaGcbaGaamOvamaaBa aaleaacaWGmbaabeaaaaa@37CF@

0.05258

0.05158

0.04554

0.0527

0.0545

b MathType@MTEF@5@5@+= feaagKart1ev2aqatCvAUfeBSjuyZL2yd9gzLbvyNv2CaerbuLwBLn hiov2DGi1BTfMBaeXatLxBI9gBaerbd9wDYLwzYbItLDharqqtubsr 4rNCHbGeaGqiVu0Je9sqqrpepC0xbbL8F4rqqrFfpeea0xe9Lq=Jc9 vqaqpepm0xbba9pwe9Q8fs0=yqaqpepae9pg0FirpepeKkFr0xfr=x fr=xb9adbaqaaeGaciGaaiaabeqaamaabaabaaGcbaGaamOyaaaa@36DE@

0.31918

0.33769

0.61055

0.3057

0.2811

CO2

V L MathType@MTEF@5@5@+= feaagKart1ev2aqatCvAUfeBSjuyZL2yd9gzLbvyNv2CaerbuLwBLn hiov2DGi1BTfMBaeXatLxBI9gBaerbd9wDYLwzYbItLDharqqtubsr 4rNCHbGeaGqiVu0Je9sqqrpepC0xbbL8F4rqqrFfpeea0xe9Lq=Jc9 vqaqpepm0xbba9pwe9Q8fs0=yqaqpepae9pg0FirpepeKkFr0xfr=x fr=xb9adbaqaaeGaciGaaiaabeqaamaabaabaaGcbaGaamOvamaaBa aaleaacaWGmbaabeaaaaa@37CF@

0.139438

0.167666

0.152714

0.167668

0.14103

b MathType@MTEF@5@5@+= feaagKart1ev2aqatCvAUfeBSjuyZL2yd9gzLbvyNv2CaerbuLwBLn hiov2DGi1BTfMBaeXatLxBI9gBaerbd9wDYLwzYbItLDharqqtubsr 4rNCHbGeaGqiVu0Je9sqqrpepC0xbbL8F4rqqrFfpeea0xe9Lq=Jc9 vqaqpepm0xbba9pwe9Q8fs0=yqaqpepae9pg0FirpepeKkFr0xfr=x fr=xb9adbaqaaeGaciGaaiaabeqaamaabaabaaGcbaGaamOyaaaa@36DE@

0.38098

0.24297

0.31488

0.24297

0.35303

Nitrogen

V L MathType@MTEF@5@5@+= feaagKart1ev2aqatCvAUfeBSjuyZL2yd9gzLbvyNv2CaerbuLwBLn hiov2DGi1BTfMBaeXatLxBI9gBaerbd9wDYLwzYbItLDharqqtubsr 4rNCHbGeaGqiVu0Je9sqqrpepC0xbbL8F4rqqrFfpeea0xe9Lq=Jc9 vqaqpepm0xbba9pwe9Q8fs0=yqaqpepae9pg0FirpepeKkFr0xfr=x fr=xb9adbaqaaeGaciGaaiaabeqaamaabaabaaGcbaGaamOvamaaBa aaleaacaWGmbaabeaaaaa@37CF@

0.03127

0.0573

0.0295

0.0573

0.0628

b MathType@MTEF@5@5@+= feaagKart1ev2aqatCvAUfeBSjuyZL2yd9gzLbvyNv2CaerbuLwBLn hiov2DGi1BTfMBaeXatLxBI9gBaerbd9wDYLwzYbItLDharqqtubsr 4rNCHbGeaGqiVu0Je9sqqrpepC0xbbL8F4rqqrFfpeea0xe9Lq=Jc9 vqaqpepm0xbba9pwe9Q8fs0=yqaqpepae9pg0FirpepeKkFr0xfr=x fr=xb9adbaqaaeGaciGaaiaabeqaamaabaabaaGcbaGaamOyaaaa@36DE@

0.0815

0.0346

0.0924

0.0346

0.0288

Table S6 Optimum doses of different coagulants and Influent/Effluent values of various parameter

<strong>Figure 1 </strong>  Experimental data for Methane, CO<sub>2</sub> and Nitrogen and Langmuir isotherm obtained by SSE, ARE, SAE, MPSD and HYBRID

Figure 1 Experimental data for Methane, CO2 and Nitrogen and Langmuir isotherm obtained by SSE, ARE, SAE, MPSD and HYBRID

SSE

ARE

SAE

MPSD

HYBRID

Methane

SNE

2.0456

2.0083

5

2.1427

2.2411

Carbon Dioxide

SNE

4.2552

3.6307

4.0848

4.2752

4.2320

Nitrogen

SNE

3.9504

4.0152

4.1666

4.0152

4.2265

Table 1 SNE for Non-linear Langmuir isotherm

SSE

ARE

SAE

MPSD

HYBRID

Methane

SNE

4.668

4.7349

4.7410

4.8365

4.7780

CO2

SNE

4.9481

3.9526

4.8955

4.9129

4.9076

Nitrogen

SNE

4.0081

3.9433

4.2248

3.9650

4.1983

Table 2 SNE for Non-Linear BET model using Equation 3.

SSE

ARE

SAE

MPSD

HYBRID

Methane

SNE

3.5769

3.5619

4.7807

3.5619

3.8472

CO2

SNE

4.3903

4.5538

4.7416

4.5539

4.3059

Nitrogen

SNE

3.4763

3.9055

3.8840

3.9055

3.14481

Table 3 SNE for Non-linear Dubinin –Astakhov isotherm

SSE

ARE

SAE

MPSD

HYBRID

Methane

SNE

4.6122

4.1126

4.4328

4.1071

4.1482

CO2

SNE

4.6145

3.9830

3.6623

3.9830

3.7010

Nitrogen

SNE

4.9796

3.98022

3.9921

3.9884

4.0611

Table 4 SNE for Non-linear Vacancy solution model

The BET isotherm constants and error analysis using the different error functions are shown in Table S and S7 for methane, CO2 and nitrogen adsorption. It can also be observed that the parameters for BET for all the error functions are very similar with slight variations. Similarly, the SNE values are very much similar. Comparing the SNE values, it can be concluded that SSE for methane, ARE for CO2 and nitrogen provided the best BET fit for the experimental data for New Albany shale. However, Figure S3 in supplementary data confirms that BET isotherm cannot be used for modelling CO2 adsorption on New Albany shale data even though, there was a better match for Methane and Nitrogen adsorption using BET.

SSE

ARE

SAE

MPSD

HYBRID

Methane P o =46.18 MathType@MTEF@5@5@+= feaagKart1ev2aqatCvAUfeBSjuyZL2yd9gzLbvyNv2CaerbuLwBLn hiov2DGi1BTfMBaeXatLxBI9gBaerbd9wDYLwzYbItLDharqqtubsr 4rNCHbGeaGqiVCI8FfYJH8YrFfeuY=Hhbbf9v8qqaqFr0xc9pk0xbb a9q8WqFfeaY=biLkVcLq=JHqpepeea0=as0Fb9pgeaYRXxe9vr0=vr 0=vqpWqaaeaabiGaciaacaqabeaadaqaaqaaaOqaaiaadcfadaWgaa WcbaGaam4BaaqabaGccqGH9aqpcaaI0aGaaGOnaiaac6cacaaIXaGa aGioaaaa@3C9E@ Mpa

V m MathType@MTEF@5@5@+= feaagKart1ev2aqatCvAUfeBSjuyZL2yd9gzLbvyNv2CaerbuLwBLn hiov2DGi1BTfMBaeXatLxBI9gBaerbd9wDYLwzYbItLDharqqtubsr 4rNCHbGeaGqiVu0Je9sqqrpepC0xbbL8F4rqqrFfpeea0xe9Lq=Jc9 vqaqpepm0xbba9pwe9Q8fs0=yqaqpepae9pg0FirpepeKkFr0xfr=x fr=xb9adbaqaaeGaciGaaiaabeqaamaabaabaaGcbaGaamOvamaaBa aaleaacaWGTbaabeaaaaa@37F0@

0.0351

0.0355

0.0346

0.0362

0.0363

C MathType@MTEF@5@5@+= feaagKart1ev2aqatCvAUfeBSjuyZL2yd9gzLbvyNv2CaerbuLwBLn hiov2DGi1BTfMBaeXatLxBI9gBaerbd9wDYLwzYbItLDharqqtubsr 4rNCHbGeaGqiVu0Je9sqqrpepC0xbbL8F4rqqrFfpeea0xe9Lq=Jc9 vqaqpepm0xbba9pwe9Q8fs0=yqaqpepae9pg0FirpepeKkFr0xfr=x fr=xb9adbaqaaeGaciGaaiaabeqaamaabaabaaGcbaGaam4qaaaa@36BF@

30.3761

30.447

33.0086

28.768

24.386

CO2 P o =12.84 MathType@MTEF@5@5@+= feaagKart1ev2aqatCvAUfeBSjuyZL2yd9gzLbvyNv2CaerbuLwBLn hiov2DGi1BTfMBaeXatLxBI9gBaerbd9wDYLwzYbItLDharqqtubsr 4rNCHbGeaGqiVCI8FfYJH8YrFfeuY=Hhbbf9v8qqaqFr0xc9pk0xbb a9q8WqFfeaY=biLkVcLq=JHqpepeea0=as0Fb9pgeaYRXxe9vr0=vr 0=vqpWqaaeaabiGaciaacaqabeaadaqaaqaaaOqaaiaadcfadaWgaa WcbaGaam4BaaqabaGccqGH9aqpcaaIXaGaaGOmaiaac6cacaaI4aGa aGinaaaa@3C9A@ Mpa

V m MathType@MTEF@5@5@+= feaagKart1ev2aqatCvAUfeBSjuyZL2yd9gzLbvyNv2CaerbuLwBLn hiov2DGi1BTfMBaeXatLxBI9gBaerbd9wDYLwzYbItLDharqqtubsr 4rNCHbGeaGqiVu0Je9sqqrpepC0xbbL8F4rqqrFfpeea0xe9Lq=Jc9 vqaqpepm0xbba9pwe9Q8fs0=yqaqpepae9pg0FirpepeKkFr0xfr=x fr=xb9adbaqaaeGaciGaaiaabeqaamaabaabaaGcbaGaamOvamaaBa aaleaacaWGTbaabeaaaaa@37F0@

0.002484

0.001766

0.001763

0.001766

0.002421

C MathType@MTEF@5@5@+= feaagKart1ev2aqatCvAUfeBSjuyZL2yd9gzLbvyNv2CaerbuLwBLn hiov2DGi1BTfMBaeXatLxBI9gBaerbd9wDYLwzYbItLDharqqtubsr 4rNCHbGeaGqiVu0Je9sqqrpepC0xbbL8F4rqqrFfpeea0xe9Lq=Jc9 vqaqpepm0xbba9pwe9Q8fs0=yqaqpepae9pg0FirpepeKkFr0xfr=x fr=xb9adbaqaaeGaciGaaiaabeqaamaabaabaaGcbaGaam4qaaaa@36BF@

12.220

6.6377

13.408

6.6379

341.769

Nitrogen P o =104.05 MathType@MTEF@5@5@+= feaagKart1ev2aqatCvAUfeBSjuyZL2yd9gzLbvyNv2CaerbuLwBLn hiov2DGi1BTfMBaeXatLxBI9gBaerbd9wDYLwzYbItLDharqqtubsr 4rNCHbGeaGqiVCI8FfYJH8YrFfeuY=Hhbbf9v8qqaqFr0xc9pk0xbb a9q8WqFfeaY=biLkVcLq=JHqpepeea0=as0Fb9pgeaYRXxe9vr0=vr 0=vqpWqaaeaabiGaciaacaqabeaadaqaaqaaaOqaaiaadcfadaWgaa WcbaGaam4BaaqabaGccqGH9aqpcaaIXaGaaGimaiaaisdacaGGUaGa aGimaiaaiwdaaaa@3D4F@ Mpa

V m MathType@MTEF@5@5@+= feaagKart1ev2aqatCvAUfeBSjuyZL2yd9gzLbvyNv2CaerbuLwBLn hiov2DGi1BTfMBaeXatLxBI9gBaerbd9wDYLwzYbItLDharqqtubsr 4rNCHbGeaGqiVu0Je9sqqrpepC0xbbL8F4rqqrFfpeea0xe9Lq=Jc9 vqaqpepm0xbba9pwe9Q8fs0=yqaqpepae9pg0FirpepeKkFr0xfr=x fr=xb9adbaqaaeGaciGaaiaabeqaamaabaabaaGcbaGaamOvamaaBa aaleaacaWGTbaabeaaaaa@37F0@

0.0223

0.0327

0.02221

0.0327

0.03459

C MathType@MTEF@5@5@+= feaagKart1ev2aqatCvAUfeBSjuyZL2yd9gzLbvyNv2CaerbuLwBLn hiov2DGi1BTfMBaeXatLxBI9gBaerbd9wDYLwzYbItLDharqqtubsr 4rNCHbGeaGqiVu0Je9sqqrpepC0xbbL8F4rqqrFfpeea0xe9Lq=Jc9 vqaqpepm0xbba9pwe9Q8fs0=yqaqpepae9pg0FirpepeKkFr0xfr=x fr=xb9adbaqaaeGaciGaaiaabeqaamaabaabaaGcbaGaam4qaaaa@36BF@

12.32225

6.4517

13.184

6.4518

5.4748

Table S7 Non-linear BET isotherm parameters

Non – linear modelling of D-A equation with different error functions also showed similar values for the D-A constants (see Table S and S8).   However, for nitrogen adsorption, MPSD showed a much higher value for V L MathType@MTEF@5@5@+= feaagKart1ev2aqatCvAUfeBSjuyZL2yd9gzLbvyNv2CaerbuLwBLn hiov2DGi1BTfMBaeXatLxBI9gBaerbd9wDYLwzYbItLDharqqtubsr 4rNCHbGeaGqiVu0Je9sqqrpepC0xbbL8F4rqqrFfpeea0xe9Lq=Jc9 vqaqpepm0xbba9pwe9Q8fs0=yqaqpepae9pg0FirpepeKkFr0xfr=x fr=xb9adbaqaaeGaciGaaiaabeqaamaabaabaaGcbaGaamOvamaaBa aaleaacaWGmbaabeaaaaa@37CF@ compared with the rest of the error functions. Comparing the SNE also shows that, ARE is a much better fit for methane gas adsorption using D-A, whereas HYBRID error function showed the closest fit for CO2 adsorption and Nitrogen adsorption.  Observing Figures S1-S3 shows that D-A model was however not the best model to use for modelling methane, CO2 and Nitrogen adsorption on New Albany shale.

<strong>Figure s1 </strong> Experimental data for Methane, CO<sub>2</sub> and Nitrogen and VSM obtained by SSE, ARE, SAE, MPSD and HYBRID

Figure s1 Experimental data for Methane, CO2 and Nitrogen and VSM obtained by SSE, ARE, SAE, MPSD and HYBRID

<strong>Figure s2 </strong>Experimental data for Methane, CO<sub>2</sub> and Nitrogen and D-A obtained by SSE, ARE, SAE, MPSD and HYBRID

Figure s2 Experimental data for Methane, CO2 and Nitrogen and D-A obtained by SSE, ARE, SAE, MPSD and HYBRID

<strong>Figure s3 </strong>Experimental data for Methane, CO<sub>2</sub> and Nitrogen and BET isotherm obtained by SSE, ARE, SAE, MPSD and HYBRID

Figure s3 Experimental data for Methane, CO2 and Nitrogen and BET isotherm obtained by SSE, ARE, SAE, MPSD and HYBRID

<strong>Figure s4 </strong>Experimental data for Methane, CO<sub>2</sub> and Nitrogen and Langmuir isotherm obtained by SSE, ARE, SAE, MPSD and HYBRID

Figure s4 Experimental data for Methane, CO2 and Nitrogen and Langmuir isotherm obtained by SSE, ARE, SAE, MPSD and HYBRID

Table S and S9 presents the VSM parameters and the error analysis using different error functions. Overall, just like previous adsorption models, the model parameters for VSM were very similar to all the error functions used. In terms of the SNE comparison, it can be noticed that SSE showed consistently higher values for methane, CO2 and Nitrogen adsorption on shale whereas the remaining SNE for the other error functions were generally quite similar. MPSD was the best error function to be used for methane adsorption whilst SAE was found to be best for CO2 adsorption. ARE was also found to be most suited for modelling nitrogen adsorption using VSM on New Albany shale.

SSE

ARE

SAE

MPSD

HYBRID

Methane

W o MathType@MTEF@5@5@+= feaagKart1ev2aqatCvAUfeBSjuyZL2yd9gzLbvyNv2CaerbuLwBLn hiov2DGi1BTfMBaeXatLxBI9gBaerbd9wDYLwzYbItLDharqqtubsr 4rNCHbGeaGqiVu0Je9sqqrpepC0xbbL8F4rqqrFfpeea0xe9Lq=Jc9 vqaqpepm0xbba9pwe9Q8fs0=yqaqpepae9pg0FirpepeKkFr0xfr=x fr=xb9adbaqaaeGaciGaaiaabeqaamaabaabaaGcbaGaam4vamaaBa aaleaacaWGVbaabeaaaaa@37F3@

0.071649

0.069431

0.06104

0.06943

0.0787

D MathType@MTEF@5@5@+= feaagKart1ev2aqatCvAUfeBSjuyZL2yd9gzLbvyNv2CaerbuLwBLn hiov2DGi1BTfMBaeXatLxBI9gBaerbd9wDYLwzYbItLDharqqtubsr 4rNCHbGeaGqiVu0Je9sqqrpepC0xbbL8F4rqqrFfpeea0xe9Lq=Jc9 vqaqpepm0xbba9pwe9Q8fs0=yqaqpepae9pg0FirpepeKkFr0xfr=x fr=xb9adbaqaaeGaciGaaiaabeqaamaabaabaaGcbaGaamiraaaa@36C0@

2.46547

2.517542

2.16262

2.51754

2.4096

m MathType@MTEF@5@5@+= feaagKart1ev2aqatCvAUfeBSjuyZL2yd9gzLbvyNv2CaerbuLwBLn hiov2DGi1BTfMBaeXatLxBI9gBaerbd9wDYLwzYbItLDharqqtubsr 4rNCHbGeaGqiVu0Je9sqqrpepC0xbbL8F4rqqrFfpeea0xe9Lq=Jc9 vqaqpepm0xbba9pwe9Q8fs0=yqaqpepae9pg0FirpepeKkFr0xfr=x fr=xb9adbaqaaeGaciGaaiaabeqaamaabaabaaGcbaGaamyBaaaa@36E9@

0.935167

0.913509

0.60568

0.91350

1.0465

CO2

W o MathType@MTEF@5@5@+= feaagKart1ev2aqatCvAUfeBSjuyZL2yd9gzLbvyNv2CaerbuLwBLn hiov2DGi1BTfMBaeXatLxBI9gBaerbd9wDYLwzYbItLDharqqtubsr 4rNCHbGeaGqiVu0Je9sqqrpepC0xbbL8F4rqqrFfpeea0xe9Lq=Jc9 vqaqpepm0xbba9pwe9Q8fs0=yqaqpepae9pg0FirpepeKkFr0xfr=x fr=xb9adbaqaaeGaciGaaiaabeqaamaabaabaaGcbaGaam4vamaaBa aaleaacaWGVbaabeaaaaa@37F3@

0.11932

0.13277

0.129899

0.1327

0.1198

D MathType@MTEF@5@5@+= feaagKart1ev2aqatCvAUfeBSjuyZL2yd9gzLbvyNv2CaerbuLwBLn hiov2DGi1BTfMBaeXatLxBI9gBaerbd9wDYLwzYbItLDharqqtubsr 4rNCHbGeaGqiVu0Je9sqqrpepC0xbbL8F4rqqrFfpeea0xe9Lq=Jc9 vqaqpepm0xbba9pwe9Q8fs0=yqaqpepae9pg0FirpepeKkFr0xfr=x fr=xb9adbaqaaeGaciGaaiaabeqaamaabaabaaGcbaGaamiraaaa@36C0@

2.16333

2.55759

2.78645

2.5415

1.96157

m MathType@MTEF@5@5@+= feaagKart1ev2aqatCvAUfeBSjuyZL2yd9gzLbvyNv2CaerbuLwBLn hiov2DGi1BTfMBaeXatLxBI9gBaerbd9wDYLwzYbItLDharqqtubsr 4rNCHbGeaGqiVu0Je9sqqrpepC0xbbL8F4rqqrFfpeea0xe9Lq=Jc9 vqaqpepm0xbba9pwe9Q8fs0=yqaqpepae9pg0FirpepeKkFr0xfr=x fr=xb9adbaqaaeGaciGaaiaabeqaamaabaabaaGcbaGaamyBaaaa@36E9@

0.694976

1.10380

0.98100

1.09688

0.69851

Nitrogen

W o MathType@MTEF@5@5@+= feaagKart1ev2aqatCvAUfeBSjuyZL2yd9gzLbvyNv2CaerbuLwBLn hiov2DGi1BTfMBaeXatLxBI9gBaerbd9wDYLwzYbItLDharqqtubsr 4rNCHbGeaGqiVu0Je9sqqrpepC0xbbL8F4rqqrFfpeea0xe9Lq=Jc9 vqaqpepm0xbba9pwe9Q8fs0=yqaqpepae9pg0FirpepeKkFr0xfr=x fr=xb9adbaqaaeGaciGaaiaabeqaamaabaabaaGcbaGaam4vamaaBa aaleaacaWGVbaabeaaaaa@37F3@

0.070201

0.205516

0.06991

0.205517

0.12384

D MathType@MTEF@5@5@+= feaagKart1ev2aqatCvAUfeBSjuyZL2yd9gzLbvyNv2CaerbuLwBLn hiov2DGi1BTfMBaeXatLxBI9gBaerbd9wDYLwzYbItLDharqqtubsr 4rNCHbGeaGqiVu0Je9sqqrpepC0xbbL8F4rqqrFfpeea0xe9Lq=Jc9 vqaqpepm0xbba9pwe9Q8fs0=yqaqpepae9pg0FirpepeKkFr0xfr=x fr=xb9adbaqaaeGaciGaaiaabeqaamaabaabaaGcbaGaamiraaaa@36C0@

1.624661

1.800114

2.138955

1.800114

1.44084

m MathType@MTEF@5@5@+= feaagKart1ev2aqatCvAUfeBSjuyZL2yd9gzLbvyNv2CaerbuLwBLn hiov2DGi1BTfMBaeXatLxBI9gBaerbd9wDYLwzYbItLDharqqtubsr 4rNCHbGeaGqiVu0Je9sqqrpepC0xbbL8F4rqqrFfpeea0xe9Lq=Jc9 vqaqpepm0xbba9pwe9Q8fs0=yqaqpepae9pg0FirpepeKkFr0xfr=x fr=xb9adbaqaaeGaciGaaiaabeqaamaabaabaaGcbaGaamyBaaaa@36E9@

1.118434

2.017611

1.42275

2.017614

1.331438

Table S8 Non-linear Dubinin –Astakhov isotherm parameters

SSE

ARE

SAE

MPSD

HYBRID

Methane

n 1 MathType@MTEF@5@5@+= feaagKart1ev2aqatCvAUfeBSjuyZL2yd9gzLbvyNv2CaerbuLwBLn hiov2DGi1BTfMBaeXatLxBI9gBaerbd9wDYLwzYbItLDharqqtubsr 4rNCHbGeaGqiVu0Je9sqqrpepC0xbbL8F4rqqrFfpeea0xe9Lq=Jc9 vqaqpepm0xbba9pwe9Q8fs0=yqaqpepae9pg0FirpepeKkFr0xfr=x fr=xb9adbaqaaeGaciGaaiaabeqaamaabaabaaGcbaGaamOBamaaDa aaleaacaaIXaaabaGaeyOhIukaaaaa@3943@

0.04687

0.046

0.04652

0.046469

0.04628

b 1 MathType@MTEF@5@5@+= feaagKart1ev2aqatCvAUfeBSjuyZL2yd9gzLbvyNv2CaerbuLwBLn hiov2DGi1BTfMBaeXatLxBI9gBaerbd9wDYLwzYbItLDharqqtubsr 4rNCHbGeaGqiVu0Je9sqqrpepC0xbbL8F4rqqrFfpeea0xe9Lq=Jc9 vqaqpepm0xbba9pwe9Q8fs0=yqaqpepae9pg0FirpepeKkFr0xfr=x fr=xb9adbaqaaeGaciGaaiaabeqaamaabaabaaGcbaGaamOyamaaBa aaleaacaaIXaaabeaaaaa@37C5@

0.0008

0.00609

0.0066

0.003909

0.0039

Λ 1v MathType@MTEF@5@5@+= feaagKart1ev2aqatCvAUfeBSjuyZL2yd9gzLbvyNv2CaerbuLwBLn hiov2DGi1BTfMBaeXatLxBI9gBaerbd9wDYLwzYbItLDharqqtubsr 4rNCHbGeaGqiVu0Je9sqqrpepC0xbbL8F4rqqrFfpeea0xe9Lq=Jc9 vqaqpepm0xbba9pwe9Q8fs0=yqaqpepae9pg0FirpepeKkFr0xfr=x fr=xb9adbaqaaeGaciGaaiaabeqaamaabaabaaGcbaGaeu4MdW0aaS baaSqaaiaaigdacaWG2baabeaaaaa@394E@

0.0428

0.3676

0.3468

0.0901

0.08905

Λ v1 MathType@MTEF@5@5@+= feaagKart1ev2aqatCvAUfeBSjuyZL2yd9gzLbvyNv2CaerbuLwBLn hiov2DGi1BTfMBaeXatLxBI9gBaerbd9wDYLwzYbItLDharqqtubsr 4rNCHbGeaGqiVu0Je9sqqrpepC0xbbL8F4rqqrFfpeea0xe9Lq=Jc9 vqaqpepm0xbba9pwe9Q8fs0=yqaqpepae9pg0FirpepeKkFr0xfr=x fr=xb9adbaqaaeGaciGaaiaabeqaamaabaabaaGcbaGaeu4MdW0aaS baaSqaaiaadAhacaaIXaaabeaaaaa@394E@

1.359807

0.9440

1.0706

1.6863

1.7015

CO2

n 1 MathType@MTEF@5@5@+= feaagKart1ev2aqatCvAUfeBSjuyZL2yd9gzLbvyNv2CaerbuLwBLn hiov2DGi1BTfMBaeXatLxBI9gBaerbd9wDYLwzYbItLDharqqtubsr 4rNCHbGeaGqiVu0Je9sqqrpepC0xbbL8F4rqqrFfpeea0xe9Lq=Jc9 vqaqpepm0xbba9pwe9Q8fs0=yqaqpepae9pg0FirpepeKkFr0xfr=x fr=xb9adbaqaaeGaciGaaiaabeqaamaabaabaaGcbaGaamOBamaaDa aaleaacaaIXaaabaGaeyOhIukaaaaa@3943@

0.59801

0.51319

0.50157

0.51319

0.43465

b 1 MathType@MTEF@5@5@+= feaagKart1ev2aqatCvAUfeBSjuyZL2yd9gzLbvyNv2CaerbuLwBLn hiov2DGi1BTfMBaeXatLxBI9gBaerbd9wDYLwzYbItLDharqqtubsr 4rNCHbGeaGqiVu0Je9sqqrpepC0xbbL8F4rqqrFfpeea0xe9Lq=Jc9 vqaqpepm0xbba9pwe9Q8fs0=yqaqpepae9pg0FirpepeKkFr0xfr=x fr=xb9adbaqaaeGaciGaaiaabeqaamaabaabaaGcbaGaamOyamaaBa aaleaacaaIXaaabeaaaaa@37C5@

0.016474

0.028472

0.035681

0.02847

0.0357

Λ 1v MathType@MTEF@5@5@+= feaagKart1ev2aqatCvAUfeBSjuyZL2yd9gzLbvyNv2CaerbuLwBLn hiov2DGi1BTfMBaeXatLxBI9gBaerbd9wDYLwzYbItLDharqqtubsr 4rNCHbGeaGqiVu0Je9sqqrpepC0xbbL8F4rqqrFfpeea0xe9Lq=Jc9 vqaqpepm0xbba9pwe9Q8fs0=yqaqpepae9pg0FirpepeKkFr0xfr=x fr=xb9adbaqaaeGaciGaaiaabeqaamaabaabaaGcbaGaeu4MdW0aaS baaSqaaiaaigdacaWG2baabeaaaaa@394E@

0.03407

0.01539

0.0086

0.01539

0.01168

Λ v1 MathType@MTEF@5@5@+= feaagKart1ev2aqatCvAUfeBSjuyZL2yd9gzLbvyNv2CaerbuLwBLn hiov2DGi1BTfMBaeXatLxBI9gBaerbd9wDYLwzYbItLDharqqtubsr 4rNCHbGeaGqiVu0Je9sqqrpepC0xbbL8F4rqqrFfpeea0xe9Lq=Jc9 vqaqpepm0xbba9pwe9Q8fs0=yqaqpepae9pg0FirpepeKkFr0xfr=x fr=xb9adbaqaaeGaciGaaiaabeqaamaabaabaaGcbaGaeu4MdW0aaS baaSqaaiaadAhacaaIXaaabeaaaaa@394E@

5.0910

5.4004

6.2924

5.4004

5.9118

Nitrogen

n 1 MathType@MTEF@5@5@+= feaagKart1ev2aqatCvAUfeBSjuyZL2yd9gzLbvyNv2CaerbuLwBLn hiov2DGi1BTfMBaeXatLxBI9gBaerbd9wDYLwzYbItLDharqqtubsr 4rNCHbGeaGqiVu0Je9sqqrpepC0xbbL8F4rqqrFfpeea0xe9Lq=Jc9 vqaqpepm0xbba9pwe9Q8fs0=yqaqpepae9pg0FirpepeKkFr0xfr=x fr=xb9adbaqaaeGaciGaaiaabeqaamaabaabaaGcbaGaamOBamaaDa aaleaacaaIXaaabaGaeyOhIukaaaaa@3943@

0.020314

0.019184

0.019127

0.019264

0.01926

b 1 MathType@MTEF@5@5@+= feaagKart1ev2aqatCvAUfeBSjuyZL2yd9gzLbvyNv2CaerbuLwBLn hiov2DGi1BTfMBaeXatLxBI9gBaerbd9wDYLwzYbItLDharqqtubsr 4rNCHbGeaGqiVu0Je9sqqrpepC0xbbL8F4rqqrFfpeea0xe9Lq=Jc9 vqaqpepm0xbba9pwe9Q8fs0=yqaqpepae9pg0FirpepeKkFr0xfr=x fr=xb9adbaqaaeGaciGaaiaabeqaamaabaabaaGcbaGaamOyamaaBa aaleaacaaIXaaabeaaaaa@37C5@

0.000157

0.000248

0.00025

0.000255

0.00025

Λ 1v MathType@MTEF@5@5@+= feaagKart1ev2aqatCvAUfeBSjuyZL2yd9gzLbvyNv2CaerbuLwBLn hiov2DGi1BTfMBaeXatLxBI9gBaerbd9wDYLwzYbItLDharqqtubsr 4rNCHbGeaGqiVu0Je9sqqrpepC0xbbL8F4rqqrFfpeea0xe9Lq=Jc9 vqaqpepm0xbba9pwe9Q8fs0=yqaqpepae9pg0FirpepeKkFr0xfr=x fr=xb9adbaqaaeGaciGaaiaabeqaamaabaabaaGcbaGaeu4MdW0aaS baaSqaaiaaigdacaWG2baabeaaaaa@394E@

0.0324

0.0225

0.0230

0.0233

0.0233

Λ v1 MathType@MTEF@5@5@+= feaagKart1ev2aqatCvAUfeBSjuyZL2yd9gzLbvyNv2CaerbuLwBLn hiov2DGi1BTfMBaeXatLxBI9gBaerbd9wDYLwzYbItLDharqqtubsr 4rNCHbGeaGqiVu0Je9sqqrpepC0xbbL8F4rqqrFfpeea0xe9Lq=Jc9 vqaqpepm0xbba9pwe9Q8fs0=yqaqpepae9pg0FirpepeKkFr0xfr=x fr=xb9adbaqaaeGaciGaaiaabeqaamaabaabaaGcbaGaeu4MdW0aaS baaSqaaiaadAhacaaIXaaabeaaaaa@394E@

1.4750

1.7980

1.7845

1.8005

1.810

Table S9 Non-linear Vacancy Solution Model isotherm parameters

SSE

ARE

SAE

MPSD

HYBRID

Methane

V L MathType@MTEF@5@5@+= feaagKart1ev2aqatCvAUfeBSjuyZL2yd9gzLbvyNv2CaerbuLwBLn hiov2DGi1BTfMBaeXatLxBI9gBaerbd9wDYLwzYbItLDharqqtubsr 4rNCHbGeaGqiVu0Je9sqqrpepC0xbbL8F4rqqrFfpeea0xe9Lq=Jc9 vqaqpepm0xbba9pwe9Q8fs0=yqaqpepae9pg0FirpepeKkFr0xfr=x fr=xb9adbaqaaeGaciGaaiaabeqaamaabaabaaGcbaGaamOvamaaBa aaleaacaWGmbaabeaaaaa@37CF@

2.5881

2.5544

2.4963

2.4963

2.5215

b MathType@MTEF@5@5@+= feaagKart1ev2aqatCvAUfeBSjuyZL2yd9gzLbvyNv2CaerbuLwBLn hiov2DGi1BTfMBaeXatLxBI9gBaerbd9wDYLwzYbItLDharqqtubsr 4rNCHbGeaGqiVu0Je9sqqrpepC0xbbL8F4rqqrFfpeea0xe9Lq=Jc9 vqaqpepm0xbba9pwe9Q8fs0=yqaqpepae9pg0FirpepeKkFr0xfr=x fr=xb9adbaqaaeGaciGaaiaabeqaamaabaabaaGcbaGaamOyaaaa@36DE@

0.0045

0.0046

0.0048

0.0048

0.0047

Ethane

SSE

ARE

SAE

MPSD

HYBRID

V L MathType@MTEF@5@5@+= feaagKart1ev2aqatCvAUfeBSjuyZL2yd9gzLbvyNv2CaerbuLwBLn hiov2DGi1BTfMBaeXatLxBI9gBaerbd9wDYLwzYbItLDharqqtubsr 4rNCHbGeaGqiVu0Je9sqqrpepC0xbbL8F4rqqrFfpeea0xe9Lq=Jc9 vqaqpepm0xbba9pwe9Q8fs0=yqaqpepae9pg0FirpepeKkFr0xfr=x fr=xb9adbaqaaeGaciGaaiaabeqaamaabaabaaGcbaGaamOvamaaBa aaleaacaWGmbaabeaaaaa@37CF@

3.83889

3.4501

3.8474

3.4500

3.5981

b MathType@MTEF@5@5@+= feaagKart1ev2aqatCvAUfeBSjuyZL2yd9gzLbvyNv2CaerbuLwBLn hiov2DGi1BTfMBaeXatLxBI9gBaerbd9wDYLwzYbItLDharqqtubsr 4rNCHbGeaGqiVu0Je9sqqrpepC0xbbL8F4rqqrFfpeea0xe9Lq=Jc9 vqaqpepm0xbba9pwe9Q8fs0=yqaqpepae9pg0FirpepeKkFr0xfr=x fr=xb9adbaqaaeGaciGaaiaabeqaamaabaabaaGcbaGaamOyaaaa@36DE@

0.04272

0.0578

0.0415

0.0578

0.0525

Table S10 Langmuir isotherm parameters and for methane and ethane adsorption

SSE

ARE

SAE

MPSD

HYBRID

Methane

n 1 MathType@MTEF@5@5@+= feaagKart1ev2aqatCvAUfeBSjuyZL2yd9gzLbvyNv2CaerbuLwBLn hiov2DGi1BTfMBaeXatLxBI9gBaerbd9wDYLwzYbItLDharqqtubsr 4rNCHbGeaGqiVu0Je9sqqrpepC0xbbL8F4rqqrFfpeea0xe9Lq=Jc9 vqaqpepm0xbba9pwe9Q8fs0=yqaqpepae9pg0FirpepeKkFr0xfr=x fr=xb9adbaqaaeGaciGaaiaabeqaamaabaabaaGcbaGaamOBamaaDa aaleaacaaIXaaabaGaeyOhIukaaaaa@3943@

0.046875

0.046

0.0465

0.0464

0.0462

b 1 MathType@MTEF@5@5@+= feaagKart1ev2aqatCvAUfeBSjuyZL2yd9gzLbvyNv2CaerbuLwBLn hiov2DGi1BTfMBaeXatLxBI9gBaerbd9wDYLwzYbItLDharqqtubsr 4rNCHbGeaGqiVu0Je9sqqrpepC0xbbL8F4rqqrFfpeea0xe9Lq=Jc9 vqaqpepm0xbba9pwe9Q8fs0=yqaqpepae9pg0FirpepeKkFr0xfr=x fr=xb9adbaqaaeGaciGaaiaabeqaamaabaabaaGcbaGaamOyamaaBa aaleaacaaIXaaabeaaaaa@37C5@

0.000896

0.00609

0.0066

0.0039

0.00393

Λ 1v MathType@MTEF@5@5@+= feaagKart1ev2aqatCvAUfeBSjuyZL2yd9gzLbvyNv2CaerbuLwBLn hiov2DGi1BTfMBaeXatLxBI9gBaerbd9wDYLwzYbItLDharqqtubsr 4rNCHbGeaGqiVu0Je9sqqrpepC0xbbL8F4rqqrFfpeea0xe9Lq=Jc9 vqaqpepm0xbba9pwe9Q8fs0=yqaqpepae9pg0FirpepeKkFr0xfr=x fr=xb9adbaqaaeGaciGaaiaabeqaamaabaabaaGcbaGaeu4MdW0aaS baaSqaaiaaigdacaWG2baabeaaaaa@394E@

0.042834

0.3676

0.3468

0.0901

0.0890

Λ v1 MathType@MTEF@5@5@+= feaagKart1ev2aqatCvAUfeBSjuyZL2yd9gzLbvyNv2CaerbuLwBLn hiov2DGi1BTfMBaeXatLxBI9gBaerbd9wDYLwzYbItLDharqqtubsr 4rNCHbGeaGqiVu0Je9sqqrpepC0xbbL8F4rqqrFfpeea0xe9Lq=Jc9 vqaqpepm0xbba9pwe9Q8fs0=yqaqpepae9pg0FirpepeKkFr0xfr=x fr=xb9adbaqaaeGaciGaaiaabeqaamaabaabaaGcbaGaeu4MdW0aaS baaSqaaiaadAhacaaIXaaabeaaaaa@394E@

1.3598

0.9440

1.0706

1.6863

1.7015

Ethane

SSE

ARE

SAE

MPSD

HYBRID

n 1 MathType@MTEF@5@5@+= feaagKart1ev2aqatCvAUfeBSjuyZL2yd9gzLbvyNv2CaerbuLwBLn hiov2DGi1BTfMBaeXatLxBI9gBaerbd9wDYLwzYbItLDharqqtubsr 4rNCHbGeaGqiVu0Je9sqqrpepC0xbbL8F4rqqrFfpeea0xe9Lq=Jc9 vqaqpepm0xbba9pwe9Q8fs0=yqaqpepae9pg0FirpepeKkFr0xfr=x fr=xb9adbaqaaeGaciGaaiaabeqaamaabaabaaGcbaGaamOBamaaDa aaleaacaaIXaaabaGaeyOhIukaaaaa@3943@

5.3946

4.6175

4.5928

4.5721

4.5721

b 1 MathType@MTEF@5@5@+= feaagKart1ev2aqatCvAUfeBSjuyZL2yd9gzLbvyNv2CaerbuLwBLn hiov2DGi1BTfMBaeXatLxBI9gBaerbd9wDYLwzYbItLDharqqtubsr 4rNCHbGeaGqiVu0Je9sqqrpepC0xbbL8F4rqqrFfpeea0xe9Lq=Jc9 vqaqpepm0xbba9pwe9Q8fs0=yqaqpepae9pg0FirpepeKkFr0xfr=x fr=xb9adbaqaaeGaciGaaiaabeqaamaabaabaaGcbaGaamOyamaaBa aaleaacaaIXaaabeaaaaa@37C5@

0.1071

0.2053

0.2171

0.2043

0.2043

Λ 1v MathType@MTEF@5@5@+= feaagKart1ev2aqatCvAUfeBSjuyZL2yd9gzLbvyNv2CaerbuLwBLn hiov2DGi1BTfMBaeXatLxBI9gBaerbd9wDYLwzYbItLDharqqtubsr 4rNCHbGeaGqiVu0Je9sqqrpepC0xbbL8F4rqqrFfpeea0xe9Lq=Jc9 vqaqpepm0xbba9pwe9Q8fs0=yqaqpepae9pg0FirpepeKkFr0xfr=x fr=xb9adbaqaaeGaciGaaiaabeqaamaabaabaaGcbaGaeu4MdW0aaS baaSqaaiaaigdacaWG2baabeaaaaa@394E@

0.0274

0.0122

0.0124

0.0126

0.0126

Λ v1 MathType@MTEF@5@5@+= feaagKart1ev2aqatCvAUfeBSjuyZL2yd9gzLbvyNv2CaerbuLwBLn hiov2DGi1BTfMBaeXatLxBI9gBaerbd9wDYLwzYbItLDharqqtubsr 4rNCHbGeaGqiVu0Je9sqqrpepC0xbbL8F4rqqrFfpeea0xe9Lq=Jc9 vqaqpepm0xbba9pwe9Q8fs0=yqaqpepae9pg0FirpepeKkFr0xfr=x fr=xb9adbaqaaeGaciGaaiaabeqaamaabaabaaGcbaGaeu4MdW0aaS baaSqaaiaadAhacaaIXaaabeaaaaa@394E@

4.6475

5.325

5.3512

5.2764

5.2764

Table S11 Vacancy Solution Model isotherm parameters for methane and ethane adsorption

Bi-Langmuir model

Sample

Reference

N m std m 3 /kg MathType@MTEF@5@5@+= feaagKart1ev2aqatCvAUfeBSjuyZL2yd9gzLbvyNv2CaerbuLwBLn hiov2DGi1BTfMBaeXatLxBI9gBaerbd9wDYLwzYbItLDharqqtubsr 4rNCHbGeaGqiVCI8FfYJH8YrFfeuY=Hhbbf9v8qqaqFr0xc9pk0xbb a9q8WqFfeaY=biLkVcLq=JHqpepeea0=as0Fb9pgeaYRXxe9vr0=vr 0=vqpWqaaeaabiGaciaacaqabeaadaqaaqaaaOqaaiaad6eadaWgaa WcbaGaamyBaaqabaGccaWGZbGaamiDaiaadsgacaWGTbWaaWbaaSqa beaacaaIZaaaaOGaai4laiaadUgacaWGNbaaaa@3F36@

k 1 1/Mpa MathType@MTEF@5@5@+= feaagKart1ev2aqatCvAUfeBSjuyZL2yd9gzLbvyNv2CaerbuLwBLn hiov2DGi1BTfMBaeXatLxBI9gBaerbd9wDYLwzYbItLDharqqtubsr 4rNCHbGeaGqiVCI8FfYJH8YrFfeuY=Hhbbf9v8qqaqFr0xc9pk0xbb a9q8WqFfeaY=biLkVcLq=JHqpepeea0=as0Fb9pgeaYRXxe9vr0=vr 0=vqpWqaaeaabiGaciaacaqabeaadaqaaqaaaOqaaiaadUgadaWgaa WcbaGaaGymaaqabaGccaaIXaGaai4laiaad2eacaWGWbGaamyyaaaa @3BE8@

k 2 1/Mpa MathType@MTEF@5@5@+= feaagKart1ev2aqatCvAUfeBSjuyZL2yd9gzLbvyNv2CaerbuLwBLn hiov2DGi1BTfMBaeXatLxBI9gBaerbd9wDYLwzYbItLDharqqtubsr 4rNCHbGeaGqiVCI8FfYJH8YrFfeuY=Hhbbf9v8qqaqFr0xc9pk0xbb a9q8WqFfeaY=biLkVcLq=JHqpepeea0=as0Fb9pgeaYRXxe9vr0=vr 0=vqpWqaaeaabiGaciaacaqabeaadaqaaqaaaOqaaiaadUgadaWgaa WcbaGaaGOmaaqabaGccaaIXaGaai4laiaad2eacaWGWbGaamyyaaaa @3BE9@

E 1 J/mol MathType@MTEF@5@5@+= feaagKart1ev2aqatCvAUfeBSjuyZL2yd9gzLbvyNv2CaerbuLwBLn hiov2DGi1BTfMBaeXatLxBI9gBaerbd9wDYLwzYbItLDharqqtubsr 4rNCHbGeaGqiVCI8FfYJH8YrFfeuY=Hhbbf9v8qqaqFr0xc9pk0xbb a9q8WqFfeaY=biLkVcLq=JHqpepeea0=as0Fb9pgeaYRXxe9vr0=vr 0=vqpWqaaeaabiGaciaacaqabeaadaqaaqaaaOqaaiabgkHiTiaadw eadaWgaaWcbaGaaGymaaqabaGccaWGkbGaai4laiaad2gacaWGVbGa amiBaaaa@3CED@

E 2 J/mol MathType@MTEF@5@5@+= feaagKart1ev2aqatCvAUfeBSjuyZL2yd9gzLbvyNv2CaerbuLwBLn hiov2DGi1BTfMBaeXatLxBI9gBaerbd9wDYLwzYbItLDharqqtubsr 4rNCHbGeaGqiVCI8FfYJH8YrFfeuY=Hhbbf9v8qqaqFr0xc9pk0xbb a9q8WqFfeaY=biLkVcLq=JHqpepeea0=as0Fb9pgeaYRXxe9vr0=vr 0=vqpWqaaeaabiGaciaacaqabeaadaqaaqaaaOqaaiabgkHiTiaadw eadaWgaaWcbaGaaGOmaaqabaGccaWGkbGaai4laiaad2gacaWGVbGa amiBaaaa@3CEE@

f 1 MathType@MTEF@5@5@+= feaagKart1ev2aqatCvAUfeBSjuyZL2yd9gzLbvyNv2CaerbuLwBLn hiov2DGi1BTfMBaeXatLxBI9gBaerbd9wDYLwzYbItLDharqqtubsr 4rNCHbGeaGqiVCI8FfYJH8YrFfeuY=Hhbbf9v8qqaqFr0xc9pk0xbb a9q8WqFfeaY=biLkVcLq=JHqpepeea0=as0Fb9pgeaYRXxe9vr0=vr 0=vqpWqaaeaabiGaciaacaqabeaadaqaaqaaaOqaaiaadAgadaWgaa WcbaGaaGymaaqabaaaaa@37BE@

Green River Formation

Zhang et al 2012

0.22

0.000214

 

0.0114

7290.85

12703.5

0.0053

Exponential model

Sample

Reference

V s std m 3 /kg MathType@MTEF@5@5@+= feaagKart1ev2aqatCvAUfeBSjuyZL2yd9gzLbvyNv2CaerbuLwBLn hiov2DGi1BTfMBaeXatLxBI9gBaerbd9wDYLwzYbItLDharqqtubsr 4rNCHbGeaGqiVCI8FfYJH8YrFfeuY=Hhbbf9v8qqaqFr0xc9pk0xbb a9q8WqFfeaY=biLkVcLq=JHqpepeea0=as0Fb9pgeaYRXxe9vr0=vr 0=vqpWqaaeaabiGaciaacaqabeaadaqaaqaaaOqaaiaadAfadaWgaa WcbaGaam4CaaqabaGccaWGZbGaamiDaiaadsgacaWGTbWaaWbaaSqa beaacaaIZaaaaOGaai4laiaadUgacaWGNbaaaa@3F44@

D t 1/K MathType@MTEF@5@5@+= feaagKart1ev2aqatCvAUfeBSjuyZL2yd9gzLbvyNv2CaerbuLwBLn hiov2DGi1BTfMBaeXatLxBI9gBaerbd9wDYLwzYbItLDharqqtubsr 4rNCHbGeaGqiVCI8FfYJH8YrFfeuY=Hhbbf9v8qqaqFr0xc9pk0xbb a9q8WqFfeaY=biLkVcLq=JHqpepeea0=as0Fb9pgeaYRXxe9vr0=vr 0=vqpWqaaeaabiGaciaacaqabeaadaqaaqaaaOqaaiaadseadaWgaa WcbaGaamiDaaqabaGccaaIXaGaai4laiaadUeaaaa@3A22@

A K 1/2 /Mpa MathType@MTEF@5@5@+= feaagKart1ev2aqatCvAUfeBSjuyZL2yd9gzLbvyNv2CaerbuLwBLn hiov2DGi1BTfMBaeXatLxBI9gBaerbd9wDYLwzYbItLDharqqtubsr 4rNCHbGeaGqiVCI8FfYJH8YrFfeuY=Hhbbf9v8qqaqFr0xc9pk0xbb a9q8WqFfeaY=biLkVcLq=JHqpepeea0=as0Fb9pgeaYRXxe9vr0=vr 0=vqpWqaaeaabiGaciaacaqabeaadaqaaqaaaOqaaiaadgeacaWGlb WaaWbaaSqabeaacaaIXaGaai4laiaaikdaaaGccaGGVaGaamytaiaa dchacaWGHbaaaa@3D43@

BK MathType@MTEF@5@5@+= feaagKart1ev2aqatCvAUfeBSjuyZL2yd9gzLbvyNv2CaerbuLwBLn hiov2DGi1BTfMBaeXatLxBI9gBaerbd9wDYLwzYbItLDharqqtubsr 4rNCHbGeaGqiVCI8FfYJH8YrFfeuY=Hhbbf9v8qqaqFr0xc9pk0xbb a9q8WqFfeaY=biLkVcLq=JHqpepeea0=as0Fb9pgeaYRXxe9vr0=vr 0=vqpWqaaeaabiGaciaacaqabeaadaqaaqaaaOqaaiaadkeacaWGlb aaaa@3783@

 

 

Green River Formation

Zhang et al 2012

0.23

0.000378

0.573

16.261

 

 

Table S12 Best fitted parameters for validation and extrapolation of temperature to 65°C

Out of the overall 12 different results for SNE calculations, SSE and HYBRID produced parameter sets showing the minimum sum of normalised error in only 2 of the results. ARE   provided 6 minimum SNE out of the total 12, proving to be the most consistent error function to be used in shale gas adsorption modelling. Finally, SAE and MPDS provided only a single result showing minimum SNE for all the results generated. From observation of Tables 1- 4 and Figures S1-S4,  it can also be deduced that Langmuir isotherm provides the best overall fit for the data on all of the gas adsorption involving methane and CO2 with the exception of nitrogen adsorption where D-A proved to be the best fit for the experimental data.

Binary gas Analysis

Adsorption data for methane and ethane on activated carbon at a temperature of 293.15 k have been reported by Szepesy and Illés.42 Pressures for pure component adsorption data were extended up to 124 KPa. The use of pure adsorption models to represent adsorption data is significant when modelling shale gas reservoir simulation. Very often, Langmuir equation has been used to represent pure adsorption data due to the ease with which it can represent the data and also its use in numerical reservoir simulators. In order to conduct binary gas adsorption modelling, results from pure components are used to obtain adsorption prediction. For this study, VSM and Langmuir's isotherm has been used to conduct the pure component adsorption modelling and later used in carrying out the binary adsorption prediction. The results from single component modelling using Langmuir and VSM are shown in Tables 5-6.

From both Tables S10-S11, the individual Langmuir and VSM parameters are very similar irrespective of the error function that was used. For methane adsorption, the sum of normalised error was minimum for ARE compared to the rest of the error function when Langmuir isotherm was used as the adsorption model (Table 5). ARE also proved to be the best fit for ethane adsorption when modelling with VSM (Table 6). The HYBRID error function was however found to fit the model better when using Langmuir isotherm whilst it was found to be a worse fit for methane adsorption using VSM. MPSD was the most appropriate error function to be used in methane adsorption when using VSM. The results from Table 5-6 also indicate that VSM would be the preferred adsorption model to be used in modelling single component adsorption for this data set.

SSE

ARE

SAE

MPSD

HYBRID

Methane

SNE

4.9668

4.9169

4.9358

4.9358

4.9235

Ethane

SSE

ARE

SAE

MPSD

HYBRID

SNE

4.2434

4.5727

4.3382

4.5728

4.2024

Table 5 SNE for binary mixture of methane and ethane (Langmuir isotherm)

SSE

ARE

SAE

MPSD

HYBRID

Methane

SNE

1.7534

1.6184

1.6436

1.6092

5

Ethane

SSE

ARE

SAE

MPSD

HYBRID

SNE

4.0883

3.4805

3.5592

3.6697

3.6697

Table 6 SNE for binary mixture of methane and ethane (Vacancy solution model)

Binary gas adsorption modelling can now be made once pure component adsorption model fitting has been completed. Throughout this study, EL, IAS and the VSM have been used. The different multi-component adsorption models have already been discussed in the previous section.

Furthermore, Figures 2-3 show the predictions of the binary gas-phase diagrams for each of the models at a pressure of 101 Kpa. The phase diagrams shown in Figures 2-3 show the plots of mole fraction of both Ethane and Methane in the adsorbed phase versus mole fractions in the free gas phase (non-sorbed) while   is the plot of mole fraction of methane in sorbed phase versus the total gas adsorption. The predictions show each of the multi-component adsorption models was able to fit closely to the experimental binary adsorption data with different level of accuracy. The Extended Langmuir showed the worst fit compared with both the Ideal adsorbed solution and the Vacancy solution model. The Vacancy solution model was, however, able to fit more accurately for predicted equilibrium compositions in Figures 2-4. EL predicted more ethane in the sorbed phase in Figure 2, while it predicted more methane in the free gas phase as shown in Figure 3 more than what the experimental data showed.

<strong>Figure 2 </strong>  Predicted equilibrium composition diagram showing free gas phase versus the sorbed phase for Ethane

Figure 2 Predicted equilibrium composition diagram showing free gas phase versus the sorbed phase for Ethane

<strong>Figure 3 </strong>   Predicted equilibrium composition diagram showing free gas phase versus the sorbed phase for Methane

Figure 3 Predicted equilibrium composition diagram showing free gas phase versus the sorbed phase for Methane

<strong>Figure 4 </strong>   Total volume of mixtures adsorbed at pressures of 101 Kpa

Figure 4 Total volume of mixtures adsorbed at pressures of 101 Kpa

For model calculations of EL and IAS, the free gas phase compositions have been inputted and the adsorbed phase mole fraction predicted. However, for VSM, the adsorbed mole fraction was inputted and the free mole gas phase was calculated. To be able to express the relative adsorption of components within an adsorption system, separation factor calculations are useful.45 All the models predict a higher selectivity ratio or separation factor for ethane than for methane (see Figure 5). According to Ruthven 1989, the separation factor measures the affinity of the adsorbent for component i MathType@MTEF@5@5@+= feaagKart1ev2aqatCvAUfeBSjuyZL2yd9gzLbvyNv2CaerbuLwBLn hiov2DGi1BTfMBaeXatLxBI9gBaerbd9wDYLwzYbItLDharqqtubsr 4rNCHbGeaGqiVu0Je9sqqrpepC0xbbL8F4rqqrFfpeea0xe9Lq=Jc9 vqaqpepm0xbba9pwe9Q8fs0=yqaqpepae9pg0FirpepeKkFr0xfr=x fr=xb9adbaqaaeGaciGaaiaabeqaamaabaabaaGcbaGaamyAaaaa@36E5@ relative to the component j MathType@MTEF@5@5@+= feaagKart1ev2aqatCvAUfeBSjuyZL2yd9gzLbvyNv2CaerbuLwBLn hiov2DGi1BTfMBaeXatLxBI9gBaerbd9wDYLwzYbItLDharqqtubsr 4rNCHbGeaGqiVu0Je9sqqrpepC0xbbL8F4rqqrFfpeea0xe9Lq=Jc9 vqaqpepm0xbba9pwe9Q8fs0=yqaqpepae9pg0FirpepeKkFr0xfr=x fr=xb9adbaqaaeGaciGaaiaabeqaamaabaabaaGcbaGaamOAaaaa@36E6@ .  This can be expressed as

α ij = (x/ y ) i (x/ y ) j MathType@MTEF@5@5@+= feaagKart1ev2aqatCvAUfeBSjuyZL2yd9gzLbvyNv2CaerbuLwBLn hiov2DGi1BTfMBaeXatLxBI9gBaerbd9wDYLwzYbItLDharqqtubsr 4rNCHbGeaGqiVu0Je9sqqrpepC0xbbL8F4rqqrFfpeea0xe9Lq=Jc9 vqaqpepm0xbba9pwe9Q8fs0=yqaqpepae9pg0FirpepeKkFr0xfr=x fr=xb9adbaqaaeGaciGaaiaabeqaamaabaabaaGcbaGaeqySde2aaS baaSqaaiaadMgacaWGQbaabeaakiabg2da9maalaaabaWaaSGbaeaa caGGOaGaamiEaaqaaiaadMhacaGGPaWaaSbaaSqaaiaadMgaaeqaaa aaaOqaaiaacIcadaWcgaqaaiaadIhaaeaacaWG5bGaaiykamaaBaaa leaacaWGQbaabeaaaaaaaaaa@43D2@

x i MathType@MTEF@5@5@+= feaagKart1ev2aqatCvAUfeBSjuyZL2yd9gzLbvyNv2CaerbuLwBLn hiov2DGi1BTfMBaeXatLxBI9gBaerbd9wDYLwzYbItLDharqqtubsr 4rNCHbGeaGqiVCI8FfYJH8YrFfeuY=Hhbbf9v8qqaqFr0xc9pk0xbb a9q8WqFfeaY=biLkVcLq=JHqpepeea0=as0Fb9pgeaYRXxe9vr0=vr 0=vqpWqaaeaabiGaciaacaqabeaadaqaaqaaaOqaaiaadIhadaWgaa WcbaGaamyAaaqabaaaaa@3803@ and x j MathType@MTEF@5@5@+= feaagKart1ev2aqatCvAUfeBSjuyZL2yd9gzLbvyNv2CaerbuLwBLn hiov2DGi1BTfMBaeXatLxBI9gBaerbd9wDYLwzYbItLDharqqtubsr 4rNCHbGeaGqiVCI8FfYJH8YrFfeuY=Hhbbf9v8qqaqFr0xc9pk0xbb a9q8WqFfeaY=biLkVcLq=JHqpepeea0=as0Fb9pgeaYRXxe9vr0=vr 0=vqpWqaaeaabiGaciaacaqabeaadaqaaqaaaOqaaiaadIhadaWgaa WcbaGaamOAaaqabaaaaa@3804@ refers to adsorbed mole fraction for component 1 and 2 respectively, while y i MathType@MTEF@5@5@+= feaagKart1ev2aqatCvAUfeBSjuyZL2yd9gzLbvyNv2CaerbuLwBLn hiov2DGi1BTfMBaeXatLxBI9gBaerbd9wDYLwzYbItLDharqqtubsr 4rNCHbGeaGqiVCI8FfYJH8YrFfeuY=Hhbbf9v8qqaqFr0xc9pk0xbb a9q8WqFfeaY=biLkVcLq=JHqpepeea0=as0Fb9pgeaYRXxe9vr0=vr 0=vqpWqaaeaabiGaciaacaqabeaadaqaaqaaaOqaaiaadMhadaWgaa WcbaGaamyAaaqabaaaaa@3804@ and y j MathType@MTEF@5@5@+= feaagKart1ev2aqatCvAUfeBSjuyZL2yd9gzLbvyNv2CaerbuLwBLn hiov2DGi1BTfMBaeXatLxBI9gBaerbd9wDYLwzYbItLDharqqtubsr 4rNCHbGeaGqiVCI8FfYJH8YrFfeuY=Hhbbf9v8qqaqFr0xc9pk0xbb a9q8WqFfeaY=biLkVcLq=JHqpepeea0=as0Fb9pgeaYRXxe9vr0=vr 0=vqpWqaaeaabiGaciaacaqabeaadaqaaqaaaOqaaiaadMhadaWgaa WcbaGaamOAaaqabaaaaa@3805@ also refer to free gas mole fraction for component 1 and 2, respectively.

<strong>Figure 5 </strong>   Separation factor calculations for mixtures  corresponding to a 0.519-mole fraction of Ethane.

Figure 5 Separation factor calculations for mixtures corresponding to a 0.519-mole fraction of Ethane.

The separation factor for the Extended Langmuir (EL) shows a constant value compared to the other models which show variable separation factors. This is because, for the EL model, the separation factor is not a function of pressure or composition.

Temperature-dependent Modelling

Adsorption data obtained from the literature16 showed multiple methane adsorption at three different temperatures of 35.4°C, 50.4°C and 65.4°C. Obtaining adsorption data at several temperatures improves the accuracy of the representative adsorption in the reservoir and thereby improves adsorption modelling for the prediction of original gas in place. Both Exponential and Bi-Langmuir models can be used in modelling methane adsorption at several temperatures. With successful application of these temperature-dependent models, numerical simulation of shale gas reservoirs could be improved since the adsorption data obtained would be a better representative of the adsorption in shale. Both temperature dependent models have been used to model the shale gas adsorption data obtained from green river shale. The modelling showed very good prediction at a single temperature and when modelled simultaneously at different temperatures (See Figure 6). Temperature-dependent models can, therefore, be used for single component modelling when adsorption data is provided at a single temperature or at multiple temperatures. Since ARE was found to be best in single component modelling, it has been used as the error function for the temperature dependent modelling.  Comparing the performance of Exponential and Bi-Langmuir models in modelling the adsorption data of Green River shale, the Exponential model provided ARE of 3.64 compared with Bi-Langmuir of 4.51 (See Table 7).

<strong>Figure 6 </strong>   Prediction of methane adsorption at multiple temperatures simultaneously

Figure 6 Prediction of methane adsorption at multiple temperatures simultaneously

 

Sample

Absolute Relative error (ARE)

Reference

Bi-Langmuir

Exponential

No. of Data Points

Green River Shale

Zhang et al., 2012

4.51

3.64

33

Table 7 MAPE of temperature dependent models in Green River Shale

A useful feature of temperature-dependent models is the ability to predict adsorption data at temperatures for which no experimental data exist. This is particularly useful when adsorption data is needed at high temperatures outside the laboratory setup. The models can, therefore, be used to obtain adsorption data at extrapolated temperatures. In order to evaluate the prediction of both Exponential model and Bi-Langmuir model at an extrapolated temperature, adsorption data at 35.4°C and 50.4°C has been used for the establishment and calibration of the models and experimental data at 65.4°C has been used for validation. Both models predicted differently when extrapolated to 65.4°C (See Figure 7). Exponential model seemed to have predicted more accurately when compared with the Bi-Langmuir model at the extrapolated temperature of 65.4°C. This implies that for Green River shale, Exponential model should be used in modelling gas adsorption in numerical simulations where thermal strategies are considered. (See Table S12 for model parameters). The predicted results clearly show that caution must be exercised when using temperature-dependent models for extrapolation purposes. This has serious implications when used in numerical simulations since different recoveries might be obtained depending on the adsorption model used. It is therefore important to do a rigorous validation before extrapolation to obtain accurate results.

<strong>Figure 6 </strong>   Prediction of gas adsorption at extrapolated temperature of 65.4°C in Green River Shale (Zhang et al.,2012)

Figure 7 Prediction of gas adsorption at extrapolated temperature of 65.4°C in Green River Shale (Zhang et al.,2012)

Conclusion

This study has analysed the different adsorption models used in the prediction of methane adsorption in shale gas reservoirs by grouping them under single, multi-component and temperature dependent adsorption models. The choice of adsorption model and error function selected has been based on a more statistically robust method of finding the sum of the normalised errors (SNE). Results obtained for single component modelling showed that ARE was the most dominant error function that gave the best fit to the adsorption data in New Albany shale. 6 out of the 12 results of SNE calculations showed minimum SNE for ARE error function. Overall, the Langmuir model gave the most accurate predictions for single component modelling compared with other models for New Albany Shale. In Binary mixture studies, VSM proved to give accurate results for Methane and Ethane adsorption on Activated carbon and fitted the data more appropriately compared with IAS and EL models. The study also showed that the application of temperature-dependent adsorption models offers the flexibility of accounting for adsorption at multiple temperatures including temperatures outside laboratory conditions. Furthermore, the Exponential model provided the most accurate results when modelling methane adsorption of green river shale formation at multiple temperatures. Caution must be exercised in the use of the models for extrapolation to higher temperatures and further validation may be necessary when predicting the gas adsorption values at those temperatures.

Nomenclature

A' MathType@MTEF@5@5@+= feaagKart1ev2aqatCvAUfeBSjuyZL2yd9gzLbvyNv2CaerbuLwBLn hiov2DGi1BTfMBaeXatLxBI9gBaerbd9wDYLwzYbItLDharqqtubsr 4rNCHbGeaGqiVu0Je9sqqrpepC0xbbL8F4rqqrFfpeea0xe9Lq=Jc9 vqaqpepm0xbba9pwe9Q8fs0=yqaqpepae9pg0FirpepeKkFr0xfr=x fr=xb9adbaqaaeGaciGaaiaabeqaamaabaabaaGcbaGaamyqaiaacE caaaa@3768@ = specific surface area of the adsorbent.
a i MathType@MTEF@5@5@+= feaagKart1ev2aqatCvAUfeBSjuyZL2yd9gzLbvyNv2CaerbuLwBLn hiov2DGi1BTfMBaeXatLxBI9gBaerbd9wDYLwzYbItLDharqqtubsr 4rNCHbGeaGqiVu0Je9sqqrpepC0xbbL8F4rqqrFfpeea0xe9Lq=Jc9 vqaqpepm0xbba9pwe9Q8fs0=yqaqpepae9pg0FirpepeKkFr0xfr=x fr=xb9adbaqaaeGaciGaaiaabeqaamaabaabaaGcbaGaamyyamaaBa aaleaacaWGPbaabeaaaaa@37F7@ = partial molar surface area of i
b MathType@MTEF@5@5@+= feaagKart1ev2aqatCvAUfeBSjuyZL2yd9gzLbvyNv2CaerbuLwBLn hiov2DGi1BTfMBaeXatLxBI9gBaerbd9wDYLwzYbItLDharqqtubsr 4rNCHbGeaGqiVCI8FfYJH8YrFfeuY=Hhbbf9v8qqaqFr0xc9pk0xbb a9q8WqFfeaY=biLkVcLq=JHqpepeea0=as0Fb9pgeaYRXxe9vr0=vr 0=vqpWqaaeaabiGaciaacaqabeaadaqaaqaaaOqaaiaadkgaaaa@36D3@ = langmuir constant
b 1 MathType@MTEF@5@5@+= feaagKart1ev2aqatCvAUfeBSjuyZL2yd9gzLbvyNv2CaerbuLwBLn hiov2DGi1BTfMBaeXatLxBI9gBaerbd9wDYLwzYbItLDharqqtubsr 4rNCHbGeaGqiVu0Je9sqqrpepC0xbbL8F4rqqrFfpeea0xe9Lq=Jc9 vqaqpepm0xbba9pwe9Q8fs0=yqaqpepae9pg0FirpepeKkFr0xfr=x fr=xb9adbaqaaeGaciGaaiaabeqaamaabaabaaGcbaGaamOyamaaBa aaleaacaaIXaaabeaaaaa@37C5@ = henry’s law constant for component one
C MathType@MTEF@5@5@+= feaagKart1ev2aqatCvAUfeBSjuyZL2yd9gzLbvyNv2CaerbuLwBLn hiov2DGi1BTfMBaeXatLxBI9gBaerbd9wDYLwzYbItLDharqqtubsr 4rNCHbGeaGqiVu0Je9sqqrpepC0xbbL8F4rqqrFfpeea0xe9Lq=Jc9 vqaqpepm0xbba9pwe9Q8fs0=yqaqpepae9pg0FirpepeKkFr0xfr=x fr=xb9adbaqaaeGaciGaaiaabeqaamaabaabaaGcbaGaam4qaaaa@36BF@ = constant related to the net heat of adsorption
D T MathType@MTEF@5@5@+= feaagKart1ev2aqatCvAUfeBSjuyZL2yd9gzLbvyNv2CaerbuLwBLn hiov2DGi1BTfMBaeXatLxBI9gBaerbd9wDYLwzYbItLDharqqtubsr 4rNCHbGeaGqiVu0Je9sqqrpepC0xbbL8F4rqqrFfpeea0xe9Lq=Jc9 vqaqpepm0xbba9pwe9Q8fs0=yqaqpepae9pg0FirpepeKkFr0xfr=x fr=xb9adbaqaaeGaciGaaiaabeqaamaabaabaaGcbaGaamiramaaBa aaleaacaWGubaabeaaaaa@37C5@ =reduction coefficient related to temperature increase
E MathType@MTEF@5@5@+= feaagKart1ev2aqatCvAUfeBSjuyZL2yd9gzLbvyNv2CaerbuLwBLn hiov2DGi1BTfMBaeXatLxBI9gBaerbd9wDYLwzYbItLDharqqtubsr 4rNCHbGeaGqiVu0Je9sqqrpepC0xbbL8F4rqqrFfpeea0xe9Lq=Jc9 vqaqpepm0xbba9pwe9Q8fs0=yqaqpepae9pg0FirpepeKkFr0xfr=x fr=xb9adbaqaaeGaciGaaiaabeqaamaabaabaaGcbaGaamyraaaa@36C1@ = energy of adsorption
E 1 MathType@MTEF@5@5@+= feaagKart1ev2aqatCvAUfeBSjuyZL2yd9gzLbvyNv2CaerbuLwBLn hiov2DGi1BTfMBaeXatLxBI9gBaerbd9wDYLwzYbItLDharqqtubsr 4rNCHbGeaGqiVu0Je9sqqrpepC0xbbL8F4rqqrFfpeea0xe9Lq=Jc9 vqaqpepm0xbba9pwe9Q8fs0=yqaqpepae9pg0FirpepeKkFr0xfr=x fr=xb9adbaqaaeGaciGaaiaabeqaamaabaabaaGcbaGaamyramaaBa aaleaacaaIXaaabeaaaaa@37A8@ = adsorption energy
f 1 MathType@MTEF@5@5@+= feaagKart1ev2aqatCvAUfeBSjuyZL2yd9gzLbvyNv2CaerbuLwBLn hiov2DGi1BTfMBaeXatLxBI9gBaerbd9wDYLwzYbItLDharqqtubsr 4rNCHbGeaGqiVu0Je9sqqrpepC0xbbL8F4rqqrFfpeea0xe9Lq=Jc9 vqaqpepm0xbba9pwe9Q8fs0=yqaqpepae9pg0FirpepeKkFr0xfr=x fr=xb9adbaqaaeGaciGaaiaabeqaamaabaabaaGcbaGaamOzamaaBa aaleaacaaIXaaabeaaaaa@37C9@ = fraction of adsorption site
i,j MathType@MTEF@5@5@+= feaagKart1ev2aqatCvAUfeBSjuyZL2yd9gzLbvyNv2CaerbuLwBLn hiov2DGi1BTfMBaeXatLxBI9gBaerbd9wDYLwzYbItLDharqqtubsr 4rNCHbGeaGqiVCI8FfYJH8YrFfeuY=Hhbbf9v8qqaqFr0xc9pk0xbb a9q8WqFfeaY=biLkVcLq=JHqpepeea0=as0Fb9pgeaYRXxe9vr0=vr 0=vqpWqaaeaabiGaciaacaqabeaadaqaaqaaaOqaaiaadMgacaGGSa GaamOAaaaa@3879@ = gas components
k 1,2 MathType@MTEF@5@5@+= feaagKart1ev2aqatCvAUfeBSjuyZL2yd9gzLbvyNv2CaerbuLwBLn hiov2DGi1BTfMBaeXatLxBI9gBaerbd9wDYLwzYbItLDharqqtubsr 4rNCHbGeaGqiVu0Je9sqqrpepC0xbbL8F4rqqrFfpeea0xe9Lq=Jc9 vqaqpepm0xbba9pwe9Q8fs0=yqaqpepae9pg0FirpepeKkFr0xfr=x fr=xb9adbaqaaeGaciGaaiaabeqaamaabaabaaGcbaGaam4AamaaBa aaleaacaaIXaGaaiilaiaaikdaaeqaaaaa@393A@ = adsorption equilibrium constant
n MathType@MTEF@5@5@+= feaagKart1ev2aqatCvAUfeBSjuyZL2yd9gzLbvyNv2CaerbuLwBLn hiov2DGi1BTfMBaeXatLxBI9gBaerbd9wDYLwzYbItLDharqqtubsr 4rNCHbGeaGqiVu0Je9sqqrpepC0xbbL8F4rqqrFfpeea0xe9Lq=Jc9 vqaqpepm0xbba9pwe9Q8fs0=yqaqpepae9pg0FirpepeKkFr0xfr=x fr=xb9adbaqaaeGaciGaaiaabeqaamaabaabaaGcbaGaamOBaaaa@36EA@ = maximum number of adsorption layers
n a (p) MathType@MTEF@5@5@+= feaagKart1ev2aqatCvAUfeBSjuyZL2yd9gzLbvyNv2CaerbuLwBLn hiov2DGi1BTfMBaeXatLxBI9gBaerbd9wDYLwzYbItLDharqqtubsr 4rNCHbGeaGqiVu0Je9sqqrpepC0xbbL8F4rqqrFfpeea0xe9Lq=Jc9 vqaqpepm0xbba9pwe9Q8fs0=yqaqpepae9pg0FirpepeKkFr0xfr=x fr=xb9adbaqaaeGaciGaaiaabeqaamaabaabaaGcbaGaamOBamaaBa aaleaacaWGHbaabeaakiaacIcacaWGWbGaaiykaaaa@3A54@ = pure component isotherm
n m s MathType@MTEF@5@5@+= feaagKart1ev2aqatCvAUfeBSjuyZL2yd9gzLbvyNv2CaerbuLwBLn hiov2DGi1BTfMBaeXatLxBI9gBaerbd9wDYLwzYbItLDharqqtubsr 4rNCHbGeaGqiVu0Je9sqqrpepC0xbbL8F4rqqrFfpeea0xe9Lq=Jc9 vqaqpepm0xbba9pwe9Q8fs0=yqaqpepae9pg0FirpepeKkFr0xfr=x fr=xb9adbaqaaeGaciGaaiaabeqaamaabaabaaGcbaGaamOBamaaDa aaleaacaWGTbaabaGaam4Caaaaaaa@3901@ =total number of moles of mixture in surphase phase
n i s, MathType@MTEF@5@5@+= feaagKart1ev2aqatCvAUfeBSjuyZL2yd9gzLbvyNv2CaerbuLwBLn hiov2DGi1BTfMBaeXatLxBI9gBaerbd9wDYLwzYbItLDharqqtubsr 4rNCHbGeaGqiVu0Je9sqqrpepC0xbbL8F4rqqrFfpeea0xe9Lq=Jc9 vqaqpepm0xbba9pwe9Q8fs0=yqaqpepae9pg0FirpepeKkFr0xfr=x fr=xb9adbaqaaeGaciGaaiaabeqaamaabaabaaGcbaGaamOBamaaDa aaleaacaWGPbaabaGaam4CaiaacYcacqGHEisPaaaaaa@3B1E@ =maximum number of i in surface phase
n m s, MathType@MTEF@5@5@+= feaagKart1ev2aqatCvAUfeBSjuyZL2yd9gzLbvyNv2CaerbuLwBLn hiov2DGi1BTfMBaeXatLxBI9gBaerbd9wDYLwzYbItLDharqqtubsr 4rNCHbGeaGqiVu0Je9sqqrpepC0xbbL8F4rqqrFfpeea0xe9Lq=Jc9 vqaqpepm0xbba9pwe9Q8fs0=yqaqpepae9pg0FirpepeKkFr0xfr=x fr=xb9adbaqaaeGaciGaaiaabeqaamaabaabaaGcbaGaamOBamaaDa aaleaacaWGTbaabaGaam4CaiaacYcacqGHEisPaaaaaa@3B22@ = maximum number of moles of i in surface phase
n 1 MathType@MTEF@5@5@+= feaagKart1ev2aqatCvAUfeBSjuyZL2yd9gzLbvyNv2CaerbuLwBLn hiov2DGi1BTfMBaeXatLxBI9gBaerbd9wDYLwzYbItLDharqqtubsr 4rNCHbGeaGqiVu0Je9sqqrpepC0xbbL8F4rqqrFfpeea0xe9Lq=Jc9 vqaqpepm0xbba9pwe9Q8fs0=yqaqpepae9pg0FirpepeKkFr0xfr=x fr=xb9adbaqaaeGaciGaaiaabeqaamaabaabaaGcbaGaamOBamaaDa aaleaacaaIXaaabaGaeyOhIukaaaaa@3943@ =maximum number of moles of i in surface phase
N ads MathType@MTEF@5@5@+= feaagKart1ev2aqatCvAUfeBSjuyZL2yd9gzLbvyNv2CaerbuLwBLn hiov2DGi1BTfMBaeXatLxBI9gBaerbd9wDYLwzYbItLDharqqtubsr 4rNCHbGeaGqiVu0Je9sqqrpepC0xbbL8F4rqqrFfpeea0xe9Lq=Jc9 vqaqpepm0xbba9pwe9Q8fs0=yqaqpepae9pg0FirpepeKkFr0xfr=x fr=xb9adbaqaaeGaciGaaiaabeqaamaabaabaaGcbaGaamOtamaaBa aaleaacaWGHbGaamizaiaadohaaeqaaaaa@39BD@ = amount of adsorbed gas per unit volume adsorbent
N m MathType@MTEF@5@5@+= feaagKart1ev2aqatCvAUfeBSjuyZL2yd9gzLbvyNv2CaerbuLwBLn hiov2DGi1BTfMBaeXatLxBI9gBaerbd9wDYLwzYbItLDharqqtubsr 4rNCHbGeaGqiVu0Je9sqqrpepC0xbbL8F4rqqrFfpeea0xe9Lq=Jc9 vqaqpepm0xbba9pwe9Q8fs0=yqaqpepae9pg0FirpepeKkFr0xfr=x fr=xb9adbaqaaeGaciGaaiaabeqaamaabaabaaGcbaGaamOtamaaBa aaleaacaWGTbaabeaaaaa@37E8@ = amount of adsorbed gas at monolayer coverage
N MathType@MTEF@5@5@+= feaagKart1ev2aqatCvAUfeBSjuyZL2yd9gzLbvyNv2CaerbuLwBLn hiov2DGi1BTfMBaeXatLxBI9gBaerbd9wDYLwzYbItLDharqqtubsr 4rNCHbGeaGqiVu0Je9sqqrpepC0xbbL8F4rqqrFfpeea0xe9Lq=Jc9 vqaqpepm0xbba9pwe9Q8fs0=yqaqpepae9pg0FirpepeKkFr0xfr=x fr=xb9adbaqaaeGaciGaaiaabeqaamaabaabaaGcbaGaamOtaaaa@36CA@ = number of data points for the isotherm
P MathType@MTEF@5@5@+= feaagKart1ev2aaatCvAUfeBSjuyZL2yd9gzLbvyNv2CaerbuLwBLn hiov2DGi1BTfMBaeXatLxBI9gBaerbd9wDYLwzYbItLDharqqtubsr 4rNCHbGeaGqiVu0Je9sqqrpepC0xbbL8F4rqqrFfpeea0xe9Lq=Jc9 vqaqpepm0xbba9pwe9Q8fs0=yqaqpepae9pg0FirpepeKkFr0xfr=x fr=xb9adbaqaaeGaciGaaiaabeqaamaabaabaaGcbaGaamiuaaaa@36CB@ = gas pressure
P O MathType@MTEF@5@5@+= feaagKart1ev2aqatCvAUfeBSjuyZL2yd9gzLbvyNv2CaerbuLwBLn hiov2DGi1BTfMBaeXatLxBI9gBaerbd9wDYLwzYbItLDharqqtubsr 4rNCHbGeaGqiVu0Je9sqqrpepC0xbbL8F4rqqrFfpeea0xe9Lq=Jc9 vqaqpepm0xbba9pwe9Q8fs0=yqaqpepae9pg0FirpepeKkFr0xfr=x fr=xb9adbaqaaeGaciGaaiaabeqaamaabaabaaGcbaGaamiuamaaBa aaleaacaWGpbaabeaaaaa@37CC@ = the saturation pressure of the gas
P L MathType@MTEF@5@5@+= feaagKart1ev2aaatCvAUfeBSjuyZL2yd9gzLbvyNv2CaerbuLwBLn hiov2DGi1BTfMBaeXatLxBI9gBaerbd9wDYLwzYbItLDharqqtubsr 4rNCHbGeaGqiVu0Je9sqqrpepC0xbbL8F4rqqrFfpeea0xe9Lq=Jc9 vqaqpepm0xbba9pwe9Q8fs0=yqaqpepae9pg0FirpepeKkFr0xfr=x fr=xb9adbaqaaeGaciGaaiaabeqaamaabaabaaGcbaGaamiuamaaBa aaleaacaWGmbaabeaaaaa@37C8@ = langmuir pressure corresponding to one half of the langmuir volume
P Li MathType@MTEF@5@5@+= feaagKart1ev2aqatCvAUfeBSjuyZL2yd9gzLbvyNv2CaerbuLwBLn hiov2DGi1BTfMBaeXatLxBI9gBaerbd9wDYLwzYbItLDharqqtubsr 4rNCHbGeaGqiVu0Je9sqqrpepC0xbbL8F4rqqrFfpeea0xe9Lq=Jc9 vqaqpepm0xbba9pwe9Q8fs0=yqaqpepae9pg0FirpepeKkFr0xfr=x fr=xb9adbaqaaeGaciGaaiaabeqaamaabaabaaGcbaGaamiuamaaBa aaleaacaWGmbGaamyAaaqabaaaaa@38B7@ = langmuir pressure constant for pure component i , (psia)
P g MathType@MTEF@5@5@+= feaagKart1ev2aqatCvAUfeBSjuyZL2yd9gzLbvyNv2CaerbuLwBLn hiov2DGi1BTfMBaeXatLxBI9gBaerbd9wDYLwzYbItLDharqqtubsr 4rNCHbGeaGqiVu0Je9sqqrpepC0xbbL8F4rqqrFfpeea0xe9Lq=Jc9 vqaqpepm0xbba9pwe9Q8fs0=yqaqpepae9pg0FirpepeKkFr0xfr=x fr=xb9adbaqaaeGaciGaaiaabeqaamaabaabaaGcbaGaamiuamaaBa aaleaacaWGNbaabeaaaaa@37E4@ = gas phase pressure, (psia)
p o i MathType@MTEF@5@5@+= feaagKart1ev2aqatCvAUfeBSjuyZL2yd9gzLbvyNv2CaerbuLwBLn hiov2DGi1BTfMBaeXatLxBI9gBaerbd9wDYLwzYbItLDharqqtubsr 4rNCHbGeaGqiVu0Je9sqqrpepC0xbbL8F4rqqrFfpeea0xe9Lq=Jc9 vqaqpepm0xbba9pwe9Q8fs0=yqaqpepae9pg0FirpepeKkFr0xfr=x fr=xb9adbaqaaeGaciGaaiaabeqaamaabaabaaGcbaGaamiCamaaCa aaleqabaGaam4BaaaakmaaBaaaleaacaWGPbaabeaaaaa@3931@ = vapour pressure of the pure component
P i o MathType@MTEF@5@5@+= feaagKart1ev2aqatCvAUfeBSjuyZL2yd9gzLbvyNv2CaerbuLwBLn hiov2DGi1BTfMBaeXatLxBI9gBaerbd9wDYLwzYbItLDharqqtubsr 4rNCHbGeaGqiVu0Je9sqqrpepC0xbbL8F4rqqrFfpeea0xe9Lq=Jc9 vqaqpepm0xbba9pwe9Q8fs0=yqaqpepae9pg0FirpepeKkFr0xfr=x fr=xb9adbaqaaeGaciGaaiaabeqaamaabaabaaGcbaGaamiuamaaBa aaleaacaWGPbaabeaakmaaCaaaleqabaGaam4Baaaaaaa@3911@ = standard state pressure of pure component i in gas phase (psia)
r MathType@MTEF@5@5@+= feaagKart1ev2aqatCvAUfeBSjuyZL2yd9gzLbvyNv2CaerbuLwBLn hiov2DGi1BTfMBaeXatLxBI9gBaerbd9wDYLwzYbItLDharqqtubsr 4rNCHbGeaGqiVCI8FfYJH8YrFfeuY=Hhbbf9v8qqaqFr0xc9pk0xbb a9q8WqFfeaY=biLkVcLq=JHqpepeea0=as0Fb9pgeaYRXxe9vr0=vr 0=vqpWqaaeaabiGaciaacaqabeaadaqaaqaaaOqaaiaadkhaaaa@36E3@ = number of parameters in adsorption model
R MathType@MTEF@5@5@+= feaagKart1ev2aqatCvAUfeBSjuyZL2yd9gzLbvyNv2CaerbuLwBLn hiov2DGi1BTfMBaeXatLxBI9gBaerbd9wDYLwzYbItLDharqqtubsr 4rNCHbGeaGqiVu0Je9sqqrpepC0xbbL8F4rqqrFfpeea0xe9Lq=Jc9 vqaqpepm0xbba9pwe9Q8fs0=yqaqpepae9pg0FirpepeKkFr0xfr=x fr=xb9adbaqaaeGaciGaaiaabeqaamaabaabaaGcbaGaamOuaaaa@36CE@ = universal gas constant
T MathType@MTEF@5@5@+= feaagKart1ev2aqatCvAUfeBSjuyZL2yd9gzLbvyNv2CaerbuLwBLn hiov2DGi1BTfMBaeXatLxBI9gBaerbd9wDYLwzYbItLDharqqtubsr 4rNCHbGeaGqiVu0Je9sqqrpepC0xbbL8F4rqqrFfpeea0xe9Lq=Jc9 vqaqpepm0xbba9pwe9Q8fs0=yqaqpepae9pg0FirpepeKkFr0xfr=x fr=xb9adbaqaaeGaciGaaiaabeqaamaabaabaaGcbaGaamivaaaa@36D0@ = temperature of adsorption system
V MathType@MTEF@5@5@+= feaagKart1ev2aaatCvAUfeBSjuyZL2yd9gzLbvyNv2CaerbuLwBLn hiov2DGi1BTfMBaeXatLxBI9gBaerbd9wDYLwzYbItLDharqqtubsr 4rNCHbGeaGqiVu0Je9sqqrpepC0xbbL8F4rqqrFfpeea0xe9Lq=Jc9 vqaqpepm0xbba9pwe9Q8fs0=yqaqpepae9pg0FirpepeKkFr0xfr=x fr=xb9adbaqaaeGaciGaaiaabeqaamaabaabaaGcbaGaamOvaaaa@36D1@ = the volume of adsorbed gas
V L MathType@MTEF@5@5@+= feaagKart1ev2aaatCvAUfeBSjuyZL2yd9gzLbvyNv2CaerbuLwBLn hiov2DGi1BTfMBaeXatLxBI9gBaerbd9wDYLwzYbItLDharqqtubsr 4rNCHbGeaGqiVu0Je9sqqrpepC0xbbL8F4rqqrFfpeea0xe9Lq=Jc9 vqaqpepm0xbba9pwe9Q8fs0=yqaqpepae9pg0FirpepeKkFr0xfr=x fr=xb9adbaqaaeGaciGaaiaabeqaamaabaabaaGcbaGaamOvamaaBa aaleaacaWGmbaabeaaaaa@37CE@ = langmuir volume or maximum gas adsorption at infinite pressure
V m MathType@MTEF@5@5@+= feaagKart1ev2aqatCvAUfeBSjuyZL2yd9gzLbvyNv2CaerbuLwBLn hiov2DGi1BTfMBaeXatLxBI9gBaerbd9wDYLwzYbItLDharqqtubsr 4rNCHbGeaGqiVu0Je9sqqrpepC0xbbL8F4rqqrFfpeea0xe9Lq=Jc9 vqaqpepm0xbba9pwe9Q8fs0=yqaqpepae9pg0FirpepeKkFr0xfr=x fr=xb9adbaqaaeGaciGaaiaabeqaamaabaabaaGcbaGaamOvamaaBa aaleaacaWGTbaabeaaaaa@37F0@ = maximum adsorption gas volume
V Li MathType@MTEF@5@5@+= feaagKart1ev2aqatCvAUfeBSjuyZL2yd9gzLbvyNv2CaerbuLwBLn hiov2DGi1BTfMBaeXatLxBI9gBaerbd9wDYLwzYbItLDharqqtubsr 4rNCHbGeaGqiVu0Je9sqqrpepC0xbbL8F4rqqrFfpeea0xe9Lq=Jc9 vqaqpepm0xbba9pwe9Q8fs0=yqaqpepae9pg0FirpepeKkFr0xfr=x fr=xb9adbaqaaeGaciGaaiaabeqaamaabaabaaGcbaGaamOvamaaBa aaleaacaWGmbGaamyAaaqabaaaaa@38BD@ = langmuir volume constant for pure component i, (scf/ton)
V s MathType@MTEF@5@5@+= feaagKart1ev2aqatCvAUfeBSjuyZL2yd9gzLbvyNv2CaerbuLwBLn hiov2DGi1BTfMBaeXatLxBI9gBaerbd9wDYLwzYbItLDharqqtubsr 4rNCHbGeaGqiVu0Je9sqqrpepC0xbbL8F4rqqrFfpeea0xe9Lq=Jc9 vqaqpepm0xbba9pwe9Q8fs0=yqaqpepae9pg0FirpepeKkFr0xfr=x fr=xb9adbaqaaeGaciGaaiaabeqaamaabaabaaGcbaGaamOvamaaBa aaleaacaWGZbaabeaaaaa@37F6@ = theoretical maximum adsorption capacity
V i MathType@MTEF@5@5@+= feaagKart1ev2aqatCvAUfeBSjuyZL2yd9gzLbvyNv2CaerbuLwBLn hiov2DGi1BTfMBaeXatLxBI9gBaerbd9wDYLwzYbItLDharqqtubsr 4rNCHbGeaGqiVu0Je9sqqrpepC0xbbL8F4rqqrFfpeea0xe9Lq=Jc9 vqaqpepm0xbba9pwe9Q8fs0=yqaqpepae9pg0FirpepeKkFr0xfr=x fr=xb9adbaqaaeGaciGaaiaabeqaamaabaabaaGcbaGaamOvamaaBa aaleaacaWGPbaabeaaaaa@37EC@ = adsorbed volume of component i, (scf/ton)
W MathType@MTEF@5@5@+= feaagKart1ev2aqatCvAUfeBSjuyZL2yd9gzLbvyNv2CaerbuLwBLn hiov2DGi1BTfMBaeXatLxBI9gBaerbd9wDYLwzYbItLDharqqtubsr 4rNCHbGeaGqiVu0Je9sqqrpepC0xbbL8F4rqqrFfpeea0xe9Lq=Jc9 vqaqpepm0xbba9pwe9Q8fs0=yqaqpepae9pg0FirpepeKkFr0xfr=x fr=xb9adbaqaaeGaciGaaiaabeqaamaabaabaaGcbaGaam4vaaaa@36D3@ = volume adsorbed volume
W o MathType@MTEF@5@5@+= feaagKart1ev2aqatCvAUfeBSjuyZL2yd9gzLbvyNv2CaerbuLwBLn hiov2DGi1BTfMBaeXatLxBI9gBaerbd9wDYLwzYbItLDharqqtubsr 4rNCHbGeaGqiVu0Je9sqqrpepC0xbbL8F4rqqrFfpeea0xe9Lq=Jc9 vqaqpepm0xbba9pwe9Q8fs0=yqaqpepae9pg0FirpepeKkFr0xfr=x fr=xb9adbaqaaeGaciGaaiaabeqaamaabaabaaGcbaGaam4vamaaBa aaleaacaWGVbaabeaaaaa@37F3@ = micro pore volume
x i MathType@MTEF@5@5@+= feaagKart1ev2aqatCvAUfeBSjuyZL2yd9gzLbvyNv2CaerbuLwBLn hiov2DGi1BTfMBaeXatLxBI9gBaerbd9wDYLwzYbItLDharqqtubsr 4rNCHbGeaGqiVu0Je9sqqrpepC0xbbL8F4rqqrFfpeea0xe9Lq=Jc9 vqaqpepm0xbba9pwe9Q8fs0=yqaqpepae9pg0FirpepeKkFr0xfr=x fr=xb9adbaqaaeGaciGaaiaabeqaamaabaabaaGcbaGaamiEamaaBa aaleaacaWGPbaabeaaaaa@380E@ = sorbed phase gas mole fraction
X ical MathType@MTEF@5@5@+= feaagKart1ev2aqatCvAUfeBSjuyZL2yd9gzLbvyNv2CaerbuLwBLn hiov2DGi1BTfMBaeXatLxBI9gBaerbd9wDYLwzYbItLDharqqtubsr 4rNCHbGeaGqiVu0Je9sqqrpepC0xbbL8F4rqqrFfpeea0xe9Lq=Jc9 vqaqpepm0xbba9pwe9Q8fs0=yqaqpepae9pg0FirpepeKkFr0xfr=x fr=xb9adbaqaaeGaciGaaiaabeqaamaabaabaaGcbaGaamiwamaaBa aaleaacaWGPbGaam4yaiaadggacaWGSbaabeaaaaa@3AAD@ = calculated adsorbed concentration,
X iexp MathType@MTEF@5@5@+= feaagKart1ev2aqatCvAUfeBSjuyZL2yd9gzLbvyNv2CaerbuLwBLn hiov2DGi1BTfMBaeXatLxBI9gBaerbd9wDYLwzYbItLDharqqtubsr 4rNCHbGeaGqiVu0Je9sqqrpepC0xbbL8F4rqqrFfpeea0xe9Lq=Jc9 vqaqpepm0xbba9pwe9Q8fs0=yqaqpepae9pg0FirpepeKkFr0xfr=x fr=xb9adbaqaaeGaciGaaiaabeqaamaabaabaaGcbaGaamiwamaaBa aaleaacaWGPbGaciyzaiaacIhacaGGWbaabeaaaaa@3AC9@ = experimental adsorption data
x i a MathType@MTEF@5@5@+= feaagKart1ev2aqatCvAUfeBSjuyZL2yd9gzLbvyNv2CaerbuLwBLn hiov2DGi1BTfMBaeXatLxBI9gBaerbd9wDYLwzYbItLDharqqtubsr 4rNCHbGeaGqiVu0Je9sqqrpepC0xbbL8F4rqqrFfpeea0xe9Lq=Jc9 vqaqpepm0xbba9pwe9Q8fs0=yqaqpepae9pg0FirpepeKkFr0xfr=x fr=xb9adbaqaaeGaciGaaiaabeqaamaabaabaaGcbaGaamiEamaaBa aaleaacaWGPbaabeaakmaaCaaaleqabaGaamyyaaaaaaa@392B@ = molar composition of component i in adsorbed phase (fraction)
y i MathType@MTEF@5@5@+= feaagKart1ev2aqatCvAUfeBSjuyZL2yd9gzLbvyNv2CaerbuLwBLn hiov2DGi1BTfMBaeXatLxBI9gBaerbd9wDYLwzYbItLDharqqtubsr 4rNCHbGeaGqiVu0Je9sqqrpepC0xbbL8F4rqqrFfpeea0xe9Lq=Jc9 vqaqpepm0xbba9pwe9Q8fs0=yqaqpepae9pg0FirpepeKkFr0xfr=x fr=xb9adbaqaaeGaciGaaiaabeqaamaabaabaaGcbaGaamyEamaaBa aaleaacaWGPbaabeaaaaa@380F@ =gas phase composition of component i (fraction)
β MathType@MTEF@5@5@+= feaagKart1ev2aqatCvAUfeBSjuyZL2yd9gzLbvyNv2CaerbuLwBLn hiov2DGi1BTfMBaeXatLxBI9gBaerbd9wDYLwzYbItLDharqqtubsr 4rNCHbGeaGqiVu0Je9sqqrpepC0xbbL8F4rqqrFfpeea0xe9Lq=Jc9 vqaqpepm0xbba9pwe9Q8fs0=yqaqpepae9pg0FirpepeKkFr0xfr=x fr=xb9adbaqaaeGaciGaaiaabeqaamaabaabaaGcbaGaeqOSdigaaa@3798@ = affinity of the sorbent for the gas
π MathType@MTEF@5@5@+= feaagKart1ev2aqatCvAUfeBSjuyZL2yd9gzLbvyNv2CaerbuLwBLn hiov2DGi1BTfMBaeXatLxBI9gBaerbd9wDYLwzYbItLDharqqtubsr 4rNCHbGeaGqiVu0Je9sqqrpepC0xbbL8F4rqqrFfpeea0xe9Lq=Jc9 vqaqpepm0xbba9pwe9Q8fs0=yqaqpepae9pg0FirpepeKkFr0xfr=x fr=xb9adbaqaaeGaciGaaiaabeqaamaabaabaaGcbaGaeqiWdahaaa@37B4@ = spreading pressure
φ i MathType@MTEF@5@5@+= feaagKart1ev2aqatCvAUfeBSjuyZL2yd9gzLbvyNv2CaerbuLwBLn hiov2DGi1BTfMBaeXatLxBI9gBaerbd9wDYLwzYbItLDharqqtubsr 4rNCHbGeaGqiVu0Je9sqqrpepC0xbbL8F4rqqrFfpeea0xe9Lq=Jc9 vqaqpepm0xbba9pwe9Q8fs0=yqaqpepae9pg0FirpepeKkFr0xfr=x fr=xb9adbaqaaeGaciGaaiaabeqaamaabaabaaGcbaGaeqOXdO2aaS baaSqaaiaadMgaaeqaaaaa@38CE@ = fugacity coefficient of pure component i in gas phase, (dimensionless)
φ i o MathType@MTEF@5@5@+= feaagKart1ev2aqatCvAUfeBSjuyZL2yd9gzLbvyNv2CaerbuLwBLn hiov2DGi1BTfMBaeXatLxBI9gBaerbd9wDYLwzYbItLDharqqtubsr 4rNCHbGeaGqiVu0Je9sqqrpepC0xbbL8F4rqqrFfpeea0xe9Lq=Jc9 vqaqpepm0xbba9pwe9Q8fs0=yqaqpepae9pg0FirpepeKkFr0xfr=x fr=xb9adbaqaaeGaciGaaiaabeqaamaabaabaaGcbaGaeqOXdO2aaS baaSqaaiaadMgaaeqaaOWaaWbaaSqabeaacaWGVbaaaaaa@39F9@ = fugacity coeffeient of pure component i in gas phase at standard condition (dimensionless)
θ MathType@MTEF@5@5@+= feaagKart1ev2aqatCvAUfeBSjuyZL2yd9gzLbvyNv2CaerbuLwBLn hiov2DGi1BTfMBaeXatLxBI9gBaerbd9wDYLwzYbItLDharqqtubsr 4rNCHbGeaGqiVu0Je9sqqrpepC0xbbL8F4rqqrFfpeea0xe9Lq=Jc9 vqaqpepm0xbba9pwe9Q8fs0=yqaqpepae9pg0FirpepeKkFr0xfr=x fr=xb9adbaqaaeGaciGaaiaabeqaamaabaabaaGcbaGaeqiUdehaaa@37AD@ = fractional coverage
Λ v1 MathType@MTEF@5@5@+= feaagKart1ev2aqatCvAUfeBSjuyZL2yd9gzLbvyNv2CaerbuLwBLn hiov2DGi1BTfMBaeXatLxBI9gBaerbd9wDYLwzYbItLDharqqtubsr 4rNCHbGeaGqiVu0Je9sqqrpepC0xbbL8F4rqqrFfpeea0xe9Lq=Jc9 vqaqpepm0xbba9pwe9Q8fs0=yqaqpepae9pg0FirpepeKkFr0xfr=x fr=xb9adbaqaaeGaciGaaiaabeqaamaabaabaaGcbaGaeu4MdW0aaS baaSqaaiaadAhacaaIXaaabeaaaaa@394E@ , Λ 1v MathType@MTEF@5@5@+= feaagKart1ev2aqatCvAUfeBSjuyZL2yd9gzLbvyNv2CaerbuLwBLn hiov2DGi1BTfMBaeXatLxBI9gBaerbd9wDYLwzYbItLDharqqtubsr 4rNCHbGeaGqiVu0Je9sqqrpepC0xbbL8F4rqqrFfpeea0xe9Lq=Jc9 vqaqpepm0xbba9pwe9Q8fs0=yqaqpepae9pg0FirpepeKkFr0xfr=x fr=xb9adbaqaaeGaciGaaiaabeqaamaabaabaaGcbaGaeu4MdW0aaS baaSqaaiaaigdacaWG2baabeaaaaa@394E@ = wilsons parameters for interation between vacancy and adsorbate
ϕ i MathType@MTEF@5@5@+= feaagKart1ev2aqatCvAUfeBSjuyZL2yd9gzLbvyNv2CaerbuLwBLn hiov2DGi1BTfMBaeXatLxBI9gBaerbd9wDYLwzYbItLDharqqtubsr 4rNCHbGeaGqiVu0Je9sqqrpepC0xbbL8F4rqqrFfpeea0xe9Lq=Jc9 vqaqpepm0xbba9pwe9Q8fs0=yqaqpepae9pg0FirpepeKkFr0xfr=x fr=xb9adbaqaaeGaciGaaiaabeqaamaabaabaaGcbaGaeqy1dy2aaS baaSqaaiaadMgaaeqaaaaa@38D9@ =fugacity coefficient of i in bulk gas mixture
γ i s MathType@MTEF@5@5@+= feaagKart1ev2aqatCvAUfeBSjuyZL2yd9gzLbvyNv2CaerbuLwBLn hiov2DGi1BTfMBaeXatLxBI9gBaerbd9wDYLwzYbItLDharqqtubsr 4rNCHbGeaGqiVu0Je9sqqrpepC0xbbL8F4rqqrFfpeea0xe9Lq=Jc9 vqaqpepm0xbba9pwe9Q8fs0=yqaqpepae9pg0FirpepeKkFr0xfr=x fr=xb9adbaqaaeGaciGaaiaabeqaamaabaabaaGcbaGaeq4SdC2aa0 baaSqaaiaadMgaaeaacaWGZbaaaaaa@39B1@ = activity coeeficient of i in adsorbed phase vacancy solution

Reduced Kirchoff equation for calculation of saturation pressure:
P o = P c exp[ T nbp T c ( ln P c 1 T nbp / T c )( 1 T c T ) ] MathType@MTEF@5@5@+= feaagKart1ev2aqatCvAUfeBSjuyZL2yd9gzLbvyNv2CaerbuLwBLn hiov2DGi1BTfMBaeXatLxBI9gBaerbd9wDYLwzYbItLDharqqtubsr 4rNCHbGeaGqiVCI8FfYJH8YrFfeuY=Hhbbf9v8qqaqFr0xc9pk0xbb a9q8WqFfeaY=biLkVcLq=JHqpepeea0=as0Fb9pgeaYRXxe9vr0=vr 0=vqpWqaaeaabiGaciaacaqabeaadaqaaqaaaOqaaiaadcfadaWgaa WcbaGaam4BaaqabaGccqGH9aqpcaWGqbWaaSbaaSqaaiaadogaaeqa aOGaciyzaiaacIhacaGGWbWaamWaaeaadaWcaaqaaiaadsfadaWgaa WcbaGaamOBaiaadkgacaWGWbaabeaaaOqaaiaadsfadaWgaaWcbaGa am4yaaqabaaaaOWaaeWaaeaadaWcaaqaaiGacYgacaGGUbGaamiuam aaBaaaleaacaWGJbaabeaaaOqaaiaaigdacqGHsislcaWGubWaaSba aSqaaiaad6gacaWGIbGaamiCaaqabaGccaGGVaGaamivamaaBaaale aacaWGJbaabeaaaaaakiaawIcacaGLPaaadaqadaqaaiaaigdacqGH sisldaWcaaqaaiaadsfadaWgaaWcbaGaam4yaaqabaaakeaacaWGub aaaaGaayjkaiaawMcaaaGaay5waiaaw2faaaaa@5947@
P c MathType@MTEF@5@5@+= feaagKart1ev2aqatCvAUfeBSjuyZL2yd9gzLbvyNv2CaerbuLwBLn hiov2DGi1BTfMBaeXatLxBI9gBaerbd9wDYLwzYbItLDharqqtubsr 4rNCHbGeaGqiVCI8FfYJH8YrFfeuY=Hhbbf9v8qqaqFr0xc9pk0xbb a9q8WqFfeaY=biLkVcLq=JHqpepeea0=as0Fb9pgeaYRXxe9vr0=vr 0=vqpWqaaeaabiGaciaacaqabeaadaqaaqaaaOqaaiaadcfadaWgaa WcbaGaam4yaaqabaaaaa@37D5@ = critical pressure
T nbp MathType@MTEF@5@5@+= feaagKart1ev2aqatCvAUfeBSjuyZL2yd9gzLbvyNv2CaerbuLwBLn hiov2DGi1BTfMBaeXatLxBI9gBaerbd9wDYLwzYbItLDharqqtubsr 4rNCHbGeaGqiVCI8FfYJH8YrFfeuY=Hhbbf9v8qqaqFr0xc9pk0xbb a9q8WqFfeaY=biLkVcLq=JHqpepeea0=as0Fb9pgeaYRXxe9vr0=vr 0=vqpWqaaeaabiGaciaacaqabeaadaqaaqaaaOqaaiaadsfadaWgaa WcbaGaamOBaiaadkgacaWGWbaabeaaaaa@39C0@ = temperature at normal boiling point
T c MathType@MTEF@5@5@+= feaagKart1ev2aqatCvAUfeBSjuyZL2yd9gzLbvyNv2CaerbuLwBLn hiov2DGi1BTfMBaeXatLxBI9gBaerbd9wDYLwzYbItLDharqqtubsr 4rNCHbGeaGqiVCI8FfYJH8YrFfeuY=Hhbbf9v8qqaqFr0xc9pk0xbb a9q8WqFfeaY=biLkVcLq=JHqpepeea0=as0Fb9pgeaYRXxe9vr0=vr 0=vqpWqaaeaabiGaciaacaqabeaadaqaaqaaaOqaaiaadsfadaWgaa WcbaGaam4yaaqabaaaaa@37D9@ = critical temperature

References

  1. Curtis JB. Fractured shale-gas systems. AAPG Bull. 2002;86(11):1921–1938.
  2. Ahmadpour A, Wang K, Do DD. Comparison of models on the prediction of binary equilibrium data of activated carbons. AIChE J. 1998;44(3):740–752.
  3. Bazan RE, Bastos-Neto M, Staudt R, Papp H, Azevedo DCS, Cavalcante Jr CL. Adsorption equilibria of natural gas components on activated carbon: pure and mixed gas isotherms. Adsorpt Sci Technol. 2008;26(5):323–332.
  4. Charoensuppanimit P, Mohammad SA, Gasem KA. Measurements and modeling of gas adsorption on shales. Energy Fuels. 2016;30(3):2309–2319.
  5. Chen L, Jiang Z, Liu K, et al. Application of Langmuir and Dubinin–Radushkevich models to estimate methane sorption capacity on two shale samples from the Upper Triassic Chang 7 Member in the southeastern Ordos Basin, China. Energy Explor Exploit. 2017;35
  6. Clarkson CR, Haghshenas B. Modeling of supercritical fluid adsorption on organic-rich shales and coal. In: SPE Unconventional Resources Conference-USA. Society of Petroleum Engineers; 2013.
  7. Guo W, Hu Z, Zhang X, Yu R, Wang L. Shale gas adsorption and desorption characteristics and its effects on shale permeability. Energy Explor Exploit. 2017;35(4):463–481.
  8. Sandoval DR, Yan W, Michelsen ML, Stenby EH. Modeling of shale gas adsorption and its influence on phase equilibrium. Ind Eng Chem Res. 2017;57(17):5736–5747.
  9. Tang X, Ripepi N, Luxbacher K, Pitcher E. Adsorption models for methane in shales: Review, comparison, and application. Energy Fuels. 2017;31(10):10787–10801.
  10. Wang Y, Tsotsis TT, Jessen K. Competitive sorption of methane/ethane mixtures on shale: measurements and modeling. Ind Eng Chem Res. 2015;54(48):12187–12195.
  11. Yu W, Sepehrnoori K, Patzek TW. Modeling gas adsorption in Marcellus shale with Langmuir and bet isotherms. SPE J. 2016;21(02):589–600.
  12. Ross DJ, Bustin RM. Shale gas potential of the lower Jurassic Gordondale member, northeastern British Columbia, Canada. Bull Can Pet Geol. 2007;55(1):51–75.
  13. Lu X-C, Li F-C, Watson AT. Adsorption studies of natural gas storage in Devonian shales. SPE Form Eval. 1995;10(02):109–113.
  14. Ross DJ, Bustin RM. The importance of shale composition and pore structure upon gas storage potential of shale gas reservoirs. Mar Pet Geol. 2009;26(6):916–927.
  15. Chalmers GR, Bustin RM. Lower Cretaceous gas shales in northeastern British Columbia, Part I: geological controls on methane sorption capacity. Bull Can Pet Geol. 2008;56(1):1–21.
  16. Zhang T, Ellis GS, Ruppel SC, Milliken K, Yang R. Effect of organic-matter type and thermal maturity on methane adsorption in shale-gas systems. Org Geochem. 2012;47:120–131.
  17. Raut U, Famá M, Teolis BD, Baragiola RA. Characterization of porosity in vapor-deposited amorphous solid water from methane adsorption. J Chem Phys. 2007;127(20):204713.
  18. Wei G, Xiong W, Shusheng G, Zhiming H, Honglin L, Rongze Y. Impact of temperature on the isothermal adsorption/desorption of shale gas. Pet Explor Dev. 2013;40(4):514–519.
  19. Hildenbrand A, Krooss BM, Busch A, Gaschnitz R. Evolution of methane sorption capacity of coal seams as a function of burial history—a case study from the Campine Basin, NE Belgium. Int J Coal Geol. 2006;66(3):179–203.
  20. Chareonsuppanimit P, Mohammad SA, Robinson Jr RL, Gasem KA. High-pressure adsorption of gases on shales: Measurements and modeling. Int J Coal Geol. 2012;95:34–46.
  21. Fianu J, Gholinezhad J, Hassan M. Comparison of temperature-dependent gas adsorption models and their application to shale gas reservoirs. Energy Fuels. 2018;32(4):4763–4771.
  22. Yang F, Xie C, Xu S, Ning Z, Krooss BM. Supercritical methane sorption on organic-rich shales over a wide temperature range. Energy Fuels. 2017;31(12):13427–13438.
  23. Sreńscek-Nazzal J, Narkiewicz U, Morawski AW, Wróbel RJ, Michalkiewicz B. Comparison of optimized isotherm models and error functions for carbon dioxide adsorption on activated carbon. J Chem Eng Data. 2015;60(11):3148–3158.
  24. Ho YS, Porter JF, McKay G. Equilibrium isotherm studies for the sorption of divalent metal ions onto peat: copper, nickel and lead single component systems. Water Air Soil Pollut. 2002;141(1-4):1–33.
  25. Allen SJ, Gan Q, Matthews R, Johnson PA. Comparison of optimised isotherm models for basic dye adsorption by kudzu. Bioresour Technol. 2003;88(2):143–152.
  26. Kumar KV, Porkodi K. Mass transfer, kinetics and equilibrium studies for the biosorption of methylene blue using Paspalum notatum. J Hazard Mater. 2007;146(1-2):214–226.
  27. Brunauer S, Emmett PH, Teller E. Adsorption of gases in multimolecular layers. J Am Chem Soc. 1938;60(2):309–319.
  28. Do DD. Equilibria and Kinetics. Imperial College Press, London; 1998.
  29. Kapoor A, Ritter JA, Yang RT. An extended Langmuir model for adsorption of gas mixtures on heterogeneous surfaces. Langmuir. 1990;6(3):660–664.
  30. Suwanayuen S, Danner RP. Vacancy solution theory of adsorption from gas mixtures. AIChE J. 1980;26(1):76–83.
  31. Kaul BK. Correlation and prediction of adsorption isotherm data for pure and mixed gases. Ind Eng Chem Process Des Dev. 1984;23(4):711–716.
  32. Yang RT. Gas Separation by Adsorption Processes. Butterworth-Heinemann; 2013.
  33. Markham EC, Benton AF. The adsorption of gas mixtures by silica. J Am Chem Soc. 1931;53(2):497–507.
  34. Arri LE, Yee D, Morgan WD, Jeansonne MW. Modeling coalbed methane production with binary gas sorption. In: SPE Rocky Mountain Regional Meeting. Society of Petroleum Engineers; 1992.
  35. Myers AL, Prausnitz JM. Thermodynamics of mixed-gas adsorption. AIChE J. 1965;11(1):121–127.
  36. Ruthven DM. Principles of Adsorption and Adsorption Processes. John Wiley & Sons; 1984.
  37. Ye Z, Chen D, Pan Z, Zhang G, Xia Y, Ding X. An improved Langmuir model for evaluating methane adsorption capacity in shale under various pressures and temperatures. J Nat Gas Sci Eng. 2016;31:658–680.
  38. Clarkson CR. Application of a new multicomponent gas adsorption model to coal gas adsorption systems. SPE J. 2003;8(03):236–251.
  39. Foo KY, Hameed BH. Insights into the modeling of adsorption isotherm systems. Chem Eng J. 2010;156(1):2–10.
  40. Porter JF, McKay G, Choy KH. The prediction of sorption from a binary mixture of acidic dyes using single-and mixed-isotherm variants of the ideal adsorbed solute theory. Chem Eng Sci. 1999;54(24):5863–5885.
  41. Valenzuela DP, Myers AL. Adsorption Equilibrium Data Handbook. Prentice Hall; 1989.
  42. Szepesy L, Illés V. Adsorption of Gases and Gas Mixtures, III. Investigation of the Adsorption Equilibria of Binary Gas Mixtures. Acta Chim Hung Tomus. 1963;35:245–254.
  43. Fitzgerald JE, Robinson RL, Gasem KA. Modeling high-pressure adsorption of gas mixtures on activated carbon and coal using a simplified local-density model. Langmuir. 2006;22(23):9610–9618.
  44. Ren W, Tian S, Li G, Sheng M, Yang R. Modeling of mixed-gas adsorption on shale using hPC-SAFT-MPTA. Fuel. 2017;210:535–544.
  45. Hartman RC, Ambrose RJ, Akkutlu IY, Clarkson CR. Shale gas-in-place calculations part II-multicomponent gas adsorption effects. In: North American Unconventional Gas Conference and Exhibition. Society of Petroleum Engineers; 2011.

Copyright© 2019 Fianu et al. This is an open access article distributed under the terms of the Creative Commons Attribution License, which permits unrestricted use, distribution, and reproduction in any medium, provided the original author and source are credited.